ГОСТ Р МЭК 60793-1-49-2014 Волокна оптические. Часть 1-49. Методы измерений и проведение испытаний. Дифференциальная задержка мод
ГОСТ Р МЭК
Скачать ГОСТ в PDF или DOC бесплатно
Основная информация
Обозначение:
ГОСТ Р МЭК 60793-1-49-2014
Статус:
Действует
Тип:
ГОСТ Р МЭК
Название русское:
Волокна оптические. Часть 1-49. Методы измерений и проведение испытаний. Дифференциальная задержка мод
Название английское:
Optical fibres. Part 1-49. Measurement methods and test procedures. Differential mode delay
Даты и сроки
Дата издания:
06-18-20
Дата введения в действие:
01-01-16
Дата завершения срока действия:
-
Применение и описание
Область и условия применения:
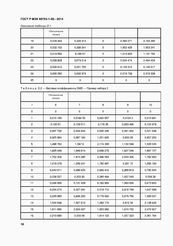
Настоящий стандарт распространяется только на многомодовые градиентные волокна со стеклянной сердцевиной (категория А1). Данный метод испытания обычно используют в производственных и исследовательских помещениях, применение его в полевых условиях затруднительно. В настоящем стандарте описан метод получения характеристик модовой структуры градиентного многомодового волокна. Данная информация полезна для оценки характеристик полосы пропускания волокна, особенно в случае волокон, предназначенных для применения при разных условиях возбуждения, например производимых нормированными лазерными передатчиками
Связи и замены
Заменяющий:
-
Описание стандарта
ГОСТ Р МЭК 60793-1-49-2014 Волокна оптические. Часть 1-49. Методы измерений и проведение испытаний. Дифференциальная задержка мод
Страницы стандарта


























