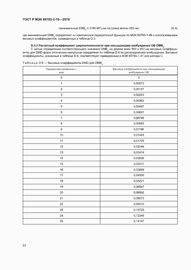
ГОСТ Р МЭК 60793-2-10-2018 Волокна оптические. Часть 2-10. Технические требования к изделию. Групповые технические требования к многомодовым оптическим волокнам категории А1
ГОСТ Р МЭК
Скачать ГОСТ в PDF или DOC бесплатно
Основная информация
Обозначение:
ГОСТ Р МЭК 60793-2-10-2018
Статус:
Действует
Тип:
ГОСТ Р МЭК
Название русское:
Волокна оптические. Часть 2-10. Технические требования к изделию. Групповые технические требования к многомодовым оптическим волокнам категории А1
Название английское:
Optical fibres. Part 2-10. Product specifications. Sectional specification for category A1 multimode fibres
Даты и сроки
Дата издания:
10-24-18
Дата введения в действие:
07-01-19
Дата завершения срока действия:
-
Применение и описание
Область и условия применения:
Настоящий стандарт распространяется на многомодовые оптические волокна подкатегорий А1а, А1b и A1d. Данные ОВ используют в составе оборудования для передачи информации и в волоконно-оптических кабелях
Связи и замены
Заменяющий:
-
Описание стандарта
ГОСТ Р МЭК 60793-2-10-2018 Волокна оптические. Часть 2-10. Технические требования к изделию. Групповые технические требования к многомодовым оптическим волокнам категории А1
Страницы стандарта












































