ГОСТ Р МЭК 61850-7-1-2009 Сети и системы связи на подстанциях. Часть 7. Базовая структура связи для подстанций и линейного оборудования. Раздел 1. Принципы и модели
ГОСТ Р МЭК
Скачать ГОСТ в PDF или DOC бесплатно
Основная информация
Обозначение:
ГОСТ Р МЭК 61850-7-1-2009
Статус:
Действует
Тип:
ГОСТ Р МЭК
Название русское:
Сети и системы связи на подстанциях. Часть 7. Базовая структура связи для подстанций и линейного оборудования. Раздел 1. Принципы и модели
Название английское:
Communication networks and systems in substations. Part 7. Basic communication structure for substation and feeder equipment. Section 1. Principles and models
Даты и сроки
Дата издания:
07-06-20
Дата введения в действие:
01-01-11
Дата завершения срока действия:
-
Применение и описание
Область и условия применения:
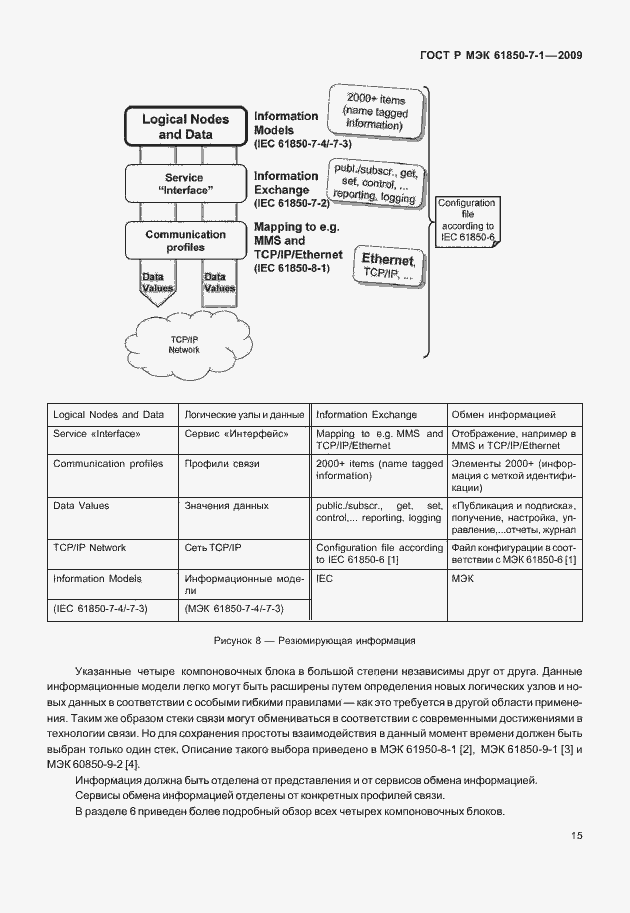
В настоящем стандарте представлены методы моделирования, принципы связи и информационные модели, используемые в серии стандартов МЭК 61850-7. Цель настоящего стандарта заключается в осуществлении - с концептуальной точки зрения - содействия в понимании основных концепций моделирования и методов описания для: - информационных моделей подстанций для систем автоматизации подстанций; - функции устройств, используемых в автоматизации подстанций; - систем связи для обеспечения взаимодействия в пределах подстанций
Связи и замены
Заменяющий:
-
Описание стандарта
ГОСТ Р МЭК 61850-7-1-2009 Сети и системы связи на подстанциях. Часть 7. Базовая структура связи для подстанций и линейного оборудования. Раздел 1. Принципы и модели
Страницы стандарта





















































































































