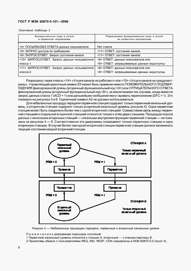
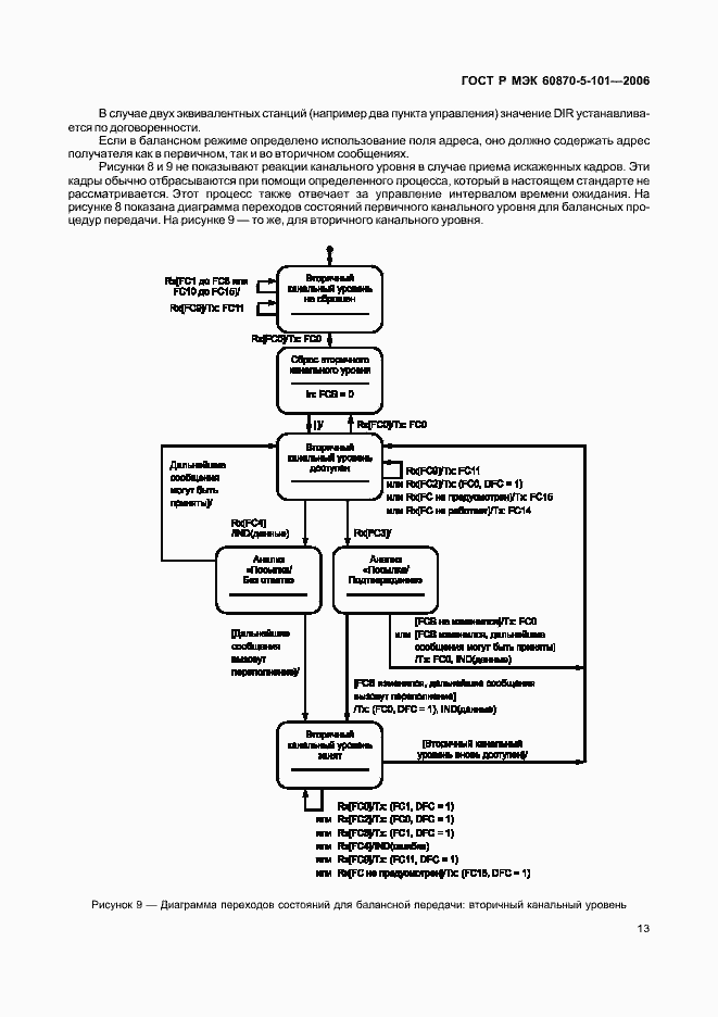
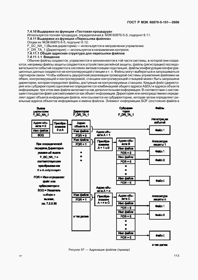
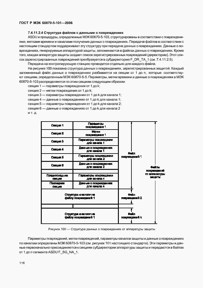
ГОСТ Р МЭК 60870-5-101-2006 Устройства и системы телемеханики. Часть 5. Протоколы передачи. Раздел 101. Обобщающий стандарт по основным функциям телемеханики
ГОСТ Р МЭК
Скачать ГОСТ в PDF или DOC бесплатно
Основная информация
Обозначение:
ГОСТ Р МЭК 60870-5-101-2006
Статус:
Действует
Тип:
ГОСТ Р МЭК
Название русское:
Устройства и системы телемеханики. Часть 5. Протоколы передачи. Раздел 101. Обобщающий стандарт по основным функциям телемеханики
Название английское:
Telecontrol equipment and systems. Part 5. Transmission protocol. Section 101. Companion standard for basic telecontrol tasks
Даты и сроки
Дата издания:
07-17-06
Дата введения в действие:
09-01-06
Дата завершения срока действия:
-
Применение и описание
Область и условия применения:
Настоящий стандарт из серии стандартов МЭК 60870-5 распространяется на устройства и системы телемеханики с передачей данных последовательными двоичными кодами для контроля и управления территориально распределенными процессами. Раздел 101 является обобщающим стандартом по основным функциям телемеханики, что дает возможность взаимодействия различной совместимой аппаратуры телемеханики. Настоящий стандарт обобщает взаимоотношения между стандартами МЭК 60870-5-1 - МЭК 60870-5-5 и представляет правила построения функциональных профилей для основных телемеханических задач
Связи и замены
Заменяющий:
-
Взамен:
ГОСТ Р МЭК 870-5-101-2001
Описание стандарта
ГОСТ Р МЭК 60870-5-101-2006 Устройства и системы телемеханики. Часть 5. Протоколы передачи. Раздел 101. Обобщающий стандарт по основным функциям телемеханики
Страницы стандарта
















































































































































