ГОСТ Р МЭК 870-6-2-2000 Устройства и системы телемеханики. Часть 6. Протоколы телемеханики, совместимые со стандартами ИСО и рекомендациями МСЭ-Т. Раздел 2. Применение базовых стандартов (уровни ВОС 1-4)
ГОСТ Р МЭК
Скачать ГОСТ в PDF или DOC бесплатно
Основная информация
Обозначение:
ГОСТ Р МЭК 870-6-2-2000
Статус:
Действует
Тип:
ГОСТ Р МЭК
Название русское:
Устройства и системы телемеханики. Часть 6. Протоколы телемеханики, совместимые со стандартами ИСО и рекомендациями МСЭ-Т. Раздел 2. Применение базовых стандартов (уровни ВОС 1-4)
Название английское:
Telecontrol equipment and systems. Part 6. Telecontrol protocols compatible with ISO standards and ITU-T recommendations Section 2. Use of basic standards (OSI layers 1-4)
Даты и сроки
Дата издания:
10-20-20
Дата введения в действие:
01-01-01
Дата завершения срока действия:
-
Применение и описание
Область и условия применения:
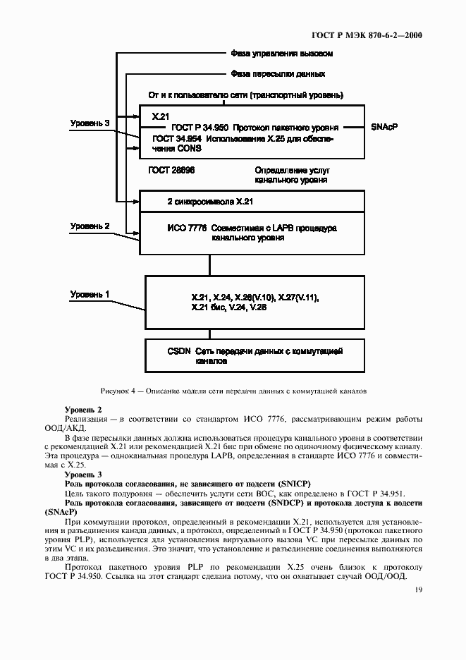
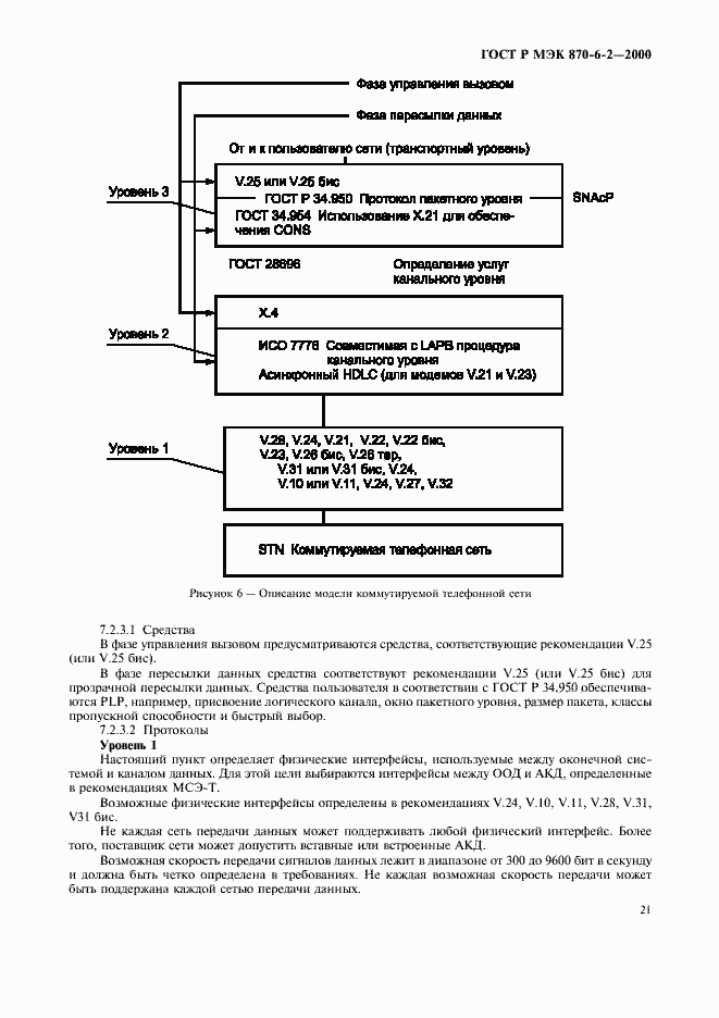
Настоящий стандарт рассматривает стандарты, относящиеся к уровням 1-4 эталонной модели ВОС (OSI). Настоящий стандарт предполагает обеспечение совместимости отечественных нормативных документов с документами ИСО и сектора стандартизации по телекоммуникациям Международного Союза Электросвязи
Связи и замены
Заменяющий:
-
Описание стандарта
ГОСТ Р МЭК 870-6-2-2000 Устройства и системы телемеханики. Часть 6. Протоколы телемеханики, совместимые со стандартами ИСО и рекомендациями МСЭ-Т. Раздел 2. Применение базовых стандартов (уровни ВОС 1-4)
Страницы стандарта



























