ГОСТ Р 56545-2015 Защита информации. Уязвимости информационных систем. Правила описания уязвимостей
ГОСТ Р
Скачать ГОСТ в PDF или DOC бесплатно
Основная информация
Обозначение:
ГОСТ Р 56545-2015
Статус:
Действует
Тип:
ГОСТ Р
Название русское:
Защита информации. Уязвимости информационных систем. Правила описания уязвимостей
Название английское:
Information protection. Vulnerabilities in information systems. Rules of vulnerabilities description
Даты и сроки
Дата издания:
11-19-18
Дата введения в действие:
04-01-16
Дата завершения срока действия:
-
Применение и описание
Область и условия применения:
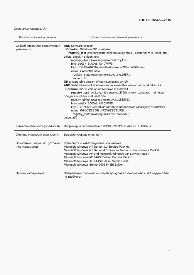
Настоящий стандарт устанавливает общие требования к структуре описания уязвимости и правилам описания уязвимости информационной системы. В настоящем стандарте принята структура описания уязвимости, использование которой позволит обеспечить достаточность информации для идентификации уязвимости информационной системы и выполнения работ по анализу уязвимостей информационной системы. Настоящий стандарт не распространяется на уязвимости информационной системы, связанные с утечкой информации по техническим каналам, в том числе уязвимостями электронных компонентов технических (аппаратных и аппаратно-программных) средств информационных систем
Связи и замены
Заменяющий:
-
Описание стандарта
ГОСТ Р 56545-2015 Защита информации. Уязвимости информационных систем. Правила описания уязвимостей
Страницы стандарта











