ГОСТ Р 55248-2012 Электробезопасность. Классификация интерфейсов для оборудования, подсоединяемого к сетям информационных и коммуникационных технологий
ГОСТ Р
Скачать ГОСТ в PDF или DOC бесплатно
Основная информация
Обозначение:
ГОСТ Р 55248-2012
Статус:
Действует
Тип:
ГОСТ Р
Название русское:
Электробезопасность. Классификация интерфейсов для оборудования, подсоединяемого к сетям информационных и коммуникационных технологий
Название английское:
Electrical safety. Classification of interfaces for equipment to be connected to information and communications technology networks
Даты и сроки
Дата издания:
11-30-18
Дата введения в действие:
07-01-14
Дата завершения срока действия:
-
Применение и описание
Область и условия применения:
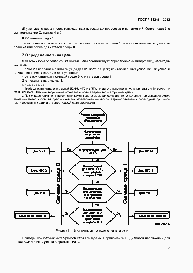
Настоящий стандарт распространяется на интерфейсы оборудования. Такие интерфейсы могут быть подключены к телекоммуникационным сетям, могут являться частью телекоммуникационной инфраструктуры сети или могут обеспечивать локальную передачу данных. Настоящий стандарт предоставляет собой руководство по классификации интерфейсов в соответствии с типами цепей, определенными в МЭК 60950-1 и МЭК 60950-21, с последующим анализом характеристик телекоммуникационной сети. Настоящий стандарт распространяется только на подключенное соответствующим образом оборудование и не рассматривает повреждения, нанесенные одним оборудованием другому оборудованию, связанному с ним. В порядке исключения интерфейс может быть спроектирован для более высоких или низких уровней в целях особого применения
Связи и замены
Заменяющий:
-
Описание стандарта
ГОСТ Р 55248-2012 Электробезопасность. Классификация интерфейсов для оборудования, подсоединяемого к сетям информационных и коммуникационных технологий
Страницы стандарта


























