ГОСТ Р 57700.17-2018 Численное моделирование физических процессов. Численное моделирование дозвуковых течений вязких жидкостей и газов. Валидация ПО
ГОСТ Р
Скачать ГОСТ в PDF или DOC бесплатно
Основная информация
Обозначение:
ГОСТ Р 57700.17-2018
Статус:
Действует
Тип:
ГОСТ Р
Название русское:
Численное моделирование физических процессов. Численное моделирование дозвуковых течений вязких жидкостей и газов. Валидация ПО
Название английское:
Numerical modeling of physical processes. Numerical simulation of subsonic flows of viscous liquids and gases. Software validation
Даты и сроки
Дата издания:
03-14-18
Дата введения в действие:
01-01-19
Дата завершения срока действия:
-
Применение и описание
Область и условия применения:
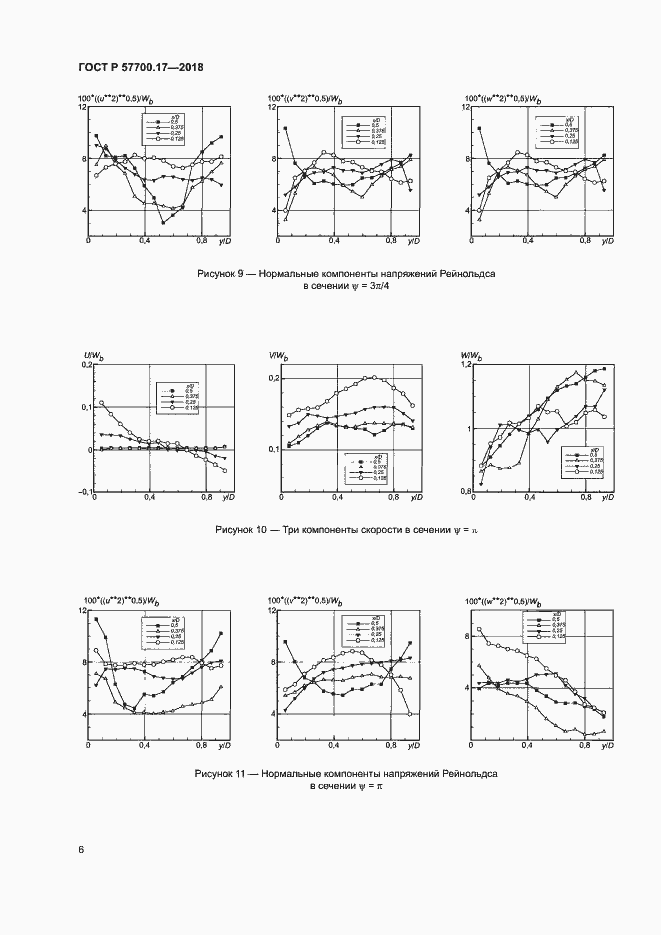
Настоящий стандарт определяет общие требования к валидации программного обеспечения компьютерного моделирования, применяемого для численного моделирования турбулентного дозвукового движения (течения) жидкости или газа. Дозвуковым называют течение жидкости в том случае, если ее скорость меньше скорости звука. Турбулентным называют течение, характеризующееся наличием стохастических пульсаций. Течение может сопровождаться переносом тепла, диффузией компонентов и химическими реакциями. В зависимости от рассматриваемого диапазона условий правильную картину течения можно получать в рамках моделей несжимаемой жидкости, слабо-сжимаемой жидкости или сжимаемой жидкости. Настоящий стандарт применим для валидации программного обеспечения компьютерного моделирования при проведении их сертификации
Связи и замены
Заменяющий:
-
Описание стандарта
ГОСТ Р 57700.17-2018 Численное моделирование физических процессов. Численное моделирование дозвуковых течений вязких жидкостей и газов. Валидация ПО
Страницы стандарта



































