ГОСТ Р 58143-2018 Информационная технология. Методы и средства обеспечения безопасности. Детализация анализа уязвимостей программного обеспечения в соответствии с ГОСТ Р ИСО/МЭК 15408 и ГОСТ Р ИСО/МЭК 18045. Часть 2. Тестирование проникновения
ГОСТ Р
Скачать ГОСТ в PDF или DOC бесплатно
Основная информация
Обозначение:
ГОСТ Р 58143-2018
Статус:
Действует
Тип:
ГОСТ Р
Название русское:
Информационная технология. Методы и средства обеспечения безопасности. Детализация анализа уязвимостей программного обеспечения в соответствии с ГОСТ Р ИСО/МЭК 15408 и ГОСТ Р ИСО/МЭК 18045. Часть 2. Тестирование проникновения
Название английское:
Information technology. Security techniques. Refining software vulnerability analysis under GOST R ISO/IEC 15408 and GOST R ISO/IEC 18045. Part 2. Penetration testing
Даты и сроки
Дата издания:
06-01-18
Дата введения в действие:
11-01-18
Дата завершения срока действия:
-
Применение и описание
Область и условия применения:
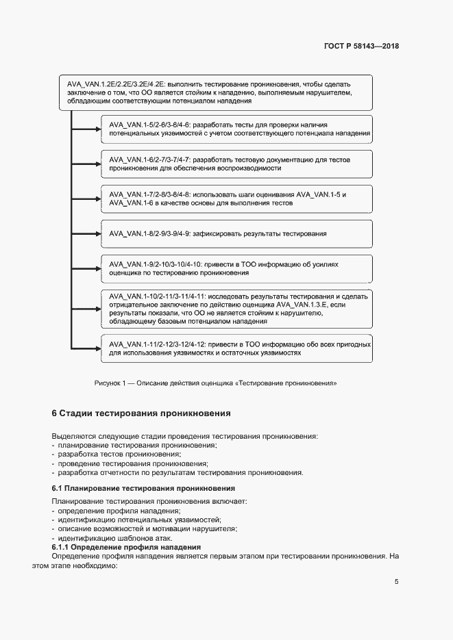
Настоящий стандарт содержит руководство по планированию, выполнению и составлению отчетности тестирования проникновения объекта оценки на базе требований «Анализ уязвимостей» из ГОСТ Р ИСО/МЭК 15408 и ГОСТ Р ИСО/МЭК 18045. В частности, данный стандарт уточняет действия по тестированию проникновения, предусмотренные компонентами требований доверия к безопасности из семейства доверия AVA_VAN «Анализ уязвимостей» и описанные в ГОСТ Р ИСО/МЭК 18045, и обеспечивает более полное руководство по их выполнению. Настоящий стандарт включает процесс-ориентированное руководство и процедуры тестирования, необходимые для получения согласованных воспроизводимых результатов при идентификации, оценке и описании уязвимостей
Связи и замены
Заменяющий:
-
Описание стандарта
ГОСТ Р 58143-2018 Информационная технология. Методы и средства обеспечения безопасности. Детализация анализа уязвимостей программного обеспечения в соответствии с ГОСТ Р ИСО/МЭК 15408 и ГОСТ Р ИСО/МЭК 18045. Часть 2. Тестирование проникновения
Страницы стандарта





















