ГОСТ Р 43.0.12-2018 Информационное обеспечение техники и операторской деятельности. Базы знаний в технической деятельности
ГОСТ Р
Скачать ГОСТ в PDF или DOC бесплатно
Основная информация
Обозначение:
ГОСТ Р 43.0.12-2018
Статус:
Действует
Тип:
ГОСТ Р
Название русское:
Информационное обеспечение техники и операторской деятельности. Базы знаний в технической деятельности
Название английское:
Informational ensuring of equipment and operational activity. Knowledge base in technical activities
Даты и сроки
Дата издания:
11-12-18
Дата введения в действие:
04-01-19
Дата завершения срока действия:
-
Применение и описание
Область и условия применения:
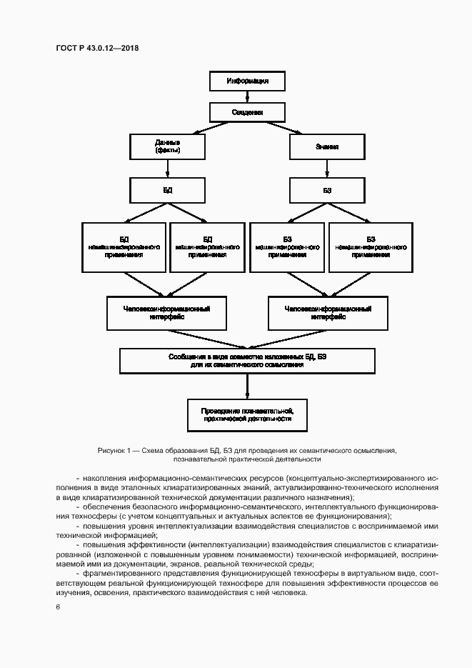
Настоящий стандарт устанавливает с учетом лингвистического подхода общие, основные положения, относящиеся к БЗ, предназначенным для использования операторами (специалистами). Данные БЗ могут быть применены: - при разработке сведений, необходимых для включения в соответствующие документы ИОТОД: - для проведения операторами (специалистами) с повышенной продуктивностью их языкового функционирования мышления (ЯФМ) интеллектуализированной учебной, практической, творческой деятельности; - при создании цифроуправляемой (цифровой) лингвистики для технической деятельности; - для создания машинизированных человекоинформационных систем гибридного интеллекта; - для создания машинизированных человекоинформационных систем компонентного искусственного интеллекта. Разработка БЗ для ИОТОД и их применение в нормативно-установленном порядке может применяться в соответствии с ГОСТ Р 43.0.2, ГОСТ Р 43.0.3, ГОСТ Р 43.2.1, ГОСТ Р 43.4.1, ГОСТ Р 43.0.6, ГОСТ Р 43.0.7, ГОСТ Р 43.0.5 и ГОСТ Р 43.0.1
Связи и замены
Заменяющий:
-
Описание стандарта
ГОСТ Р 43.0.12-2018 Информационное обеспечение техники и операторской деятельности. Базы знаний в технической деятельности
Страницы стандарта





























