ГОСТ Р 43.0.21-2020 Информационное обеспечение техники и операторской деятельности. Сознание и самосознание
ГОСТ Р
Скачать ГОСТ в PDF или DOC бесплатно
Основная информация
Обозначение:
ГОСТ Р 43.0.21-2020
Статус:
Действует
Тип:
ГОСТ Р
Название русское:
Информационное обеспечение техники и операторской деятельности. Сознание и самосознание
Название английское:
Informational ensuring of equipment and operational activity. Consciousness and self-awareness
Даты и сроки
Дата издания:
08-11-20
Дата введения в действие:
02-01-21
Дата завершения срока действия:
-
Применение и описание
Область и условия применения:
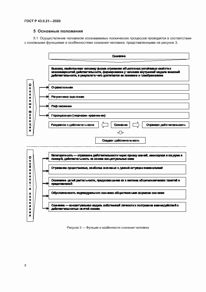
Настоящий стандарт устанавливает общие и основные положения, относящиеся к сознанию, самосознанию и бессознательному в психических процессах при использовании информации человеком (специалистом). Положения настоящего стандарта, относящиеся к сознанию, самосознанию и бессознательному в психических процессах при использовании информации человеком (специалистом), могут быть применены для интеллектуализированного проведения им технической деятельности с созданием необходимых условий: - для лингвистизированного чувственного восприятия внешней технической предметно-информационной средой; - осуществления ноон-технологизации лингвистизированной технической деятельности мышления с применением ноон-технологизированной технической информации; - лингвистизированного использования технических средств поддержки обращения с техникой; - осуществления лингвистизированного информационного взаимодействия с необходимой технической предметно-информационной средой; - развития области знаний относящейся к информационной психологии; - совершенствования и развития лингвосемантизированного человекоинформационного функционирования техносферы для осуществления образовательной, трудовой, творческой деятельности с повышенной эффективностью. Положения настоящего стандарта, относящиеся к сознанию, самосознанию и бессознательному в психических процессах при использовании информации человеком (специалистом), могут быть применены при проведении им технической деятельности. Положения настоящего стандарта могут быть использованы в подготовке специалистов для безопасного с предвидением, эффективного и продуктивного выполнения технической деятельности при интеллектуализированнном, в том числе цифроинтеллектуализированном проведении этой деятельности специалистами, владеющими языковым (лингвосемантизированным) использованием информации, а также обладающими способностями к самостоятельному и критическому преобразованию воспринимаемой информации, в том числе знаний с пониманием сущности отраженных в воображении предметов и явлений
Связи и замены
Заменяющий:
-
Описание стандарта
ГОСТ Р 43.0.21-2020 Информационное обеспечение техники и операторской деятельности. Сознание и самосознание
Страницы стандарта















