ГОСТ Р 43.4.18-2020 Информационное обеспечение техники и операторской деятельности. Система «человек–информация». Процессы информационно-обменные при осуществлении с проведением человекоинформационных взаимодействий информационной деятельности
ГОСТ Р
Скачать ГОСТ в PDF или DOC бесплатно
Основная информация
Обозначение:
ГОСТ Р 43.4.18-2020
Статус:
Действует
Тип:
ГОСТ Р
Название русское:
Информационное обеспечение техники и операторской деятельности. Система «человек–информация». Процессы информационно-обменные при осуществлении с проведением человекоинформационных взаимодействий информационной деятельности
Название английское:
Informational ensuring of equipment and operational activity. System «man–information». The process of information-exchange when carrying out human-information interactions activities
Даты и сроки
Дата издания:
08-10-20
Дата введения в действие:
02-01-21
Дата завершения срока действия:
-
Применение и описание
Область и условия применения:
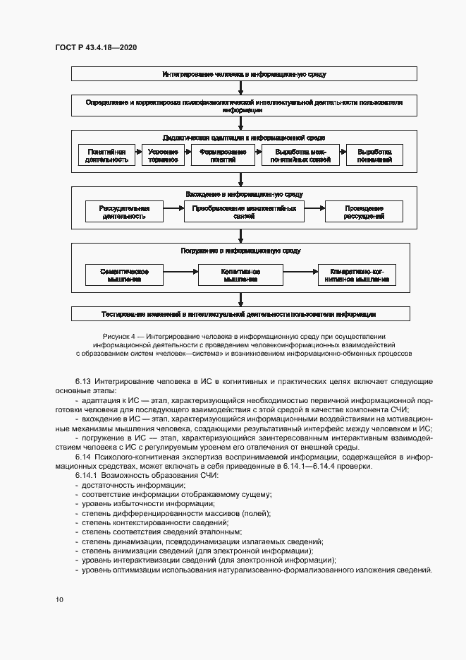
Настоящий стандарт устанавливает общие и основные положения, относящиеся к информационно-обменным процессам (ИОП), при осуществлении с проведением человекоинформационных взаимодействий (ЧИВ) информационной деятельности. Положения настоящего стандарта, относящиеся к ИОП, возникающим при осуществлении с проведением ЧИВ информационной деятельности, могут быть применены для интеллектуализированного проведения информационной деятельности с созданием необходимых условий: - для лингвистизированного чувственного восприятия внешней технической предметно-информационной среды; - осуществления ноон-технологизации лингвистизированной технической деятельности мышления с применением ноон-технологизированной технической информации; - лингвистизированного использования технических средств поддержки обращения с техникой; - осуществления лингвистизированного информационного взаимодействия с необходимой технической предметно-информационной средой; - развития области знаний, относящейся к информационной психологии; - совершенствования и развития лингвосемантизированного человекоинформационного функционирования техносферы для осуществления образовательной, трудовой и творческой деятельности с повышенной эффективностью. Положения настоящего стандарта могут быть использованы в подготовке специалистов для безопасного с прогнозированием, эффективного и продуктивного выполнения технической деятельности при интеллектуализированнном, в том числе цифроинтеллектуализированном проведении этой деятельности специалистами, умственно владеющими языковым (лингвосемантизированным) использованием информации, обладающими способностями к самостоятельному и критическому преобразованию воспринимаемой информации, знаний с пониманием сущности отраженных в воображении предметов и явлений
Связи и замены
Заменяющий:
-
Описание стандарта
ГОСТ Р 43.4.18-2020 Информационное обеспечение техники и операторской деятельности. Система «человек–информация». Процессы информационно-обменные при осуществлении с проведением человекоинформационных взаимодействий информационной деятельности
Страницы стандарта















