ГОСТ Р 43.4.17-2020 Информационное обеспечение техники и операторской деятельности. Система «человек–информация». Висцериозис информационной деятельности
ГОСТ Р
Скачать ГОСТ в PDF или DOC бесплатно
Основная информация
Обозначение:
ГОСТ Р 43.4.17-2020
Статус:
Действует
Тип:
ГОСТ Р
Название русское:
Информационное обеспечение техники и операторской деятельности. Система «человек–информация». Висцериозис информационной деятельности
Название английское:
Informational ensuring of equipment and operational activity. System«man-information». Listtriosis information activities
Даты и сроки
Дата издания:
11-24-20
Дата введения в действие:
03-01-21
Дата завершения срока действия:
-
Применение и описание
Область и условия применения:
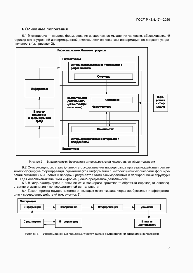
Настоящий стандарт устанавливает общие и основные положения, относящиеся к висцериозису информационной (информационно-предметной) деятельности. Положения настоящего стандарта по висцериозису информационно-предметной деятельности могут быть использованы для формирования семантики мышления с осуществлением психофизиологических процессов экстериориза при проведении человекоинформационных взаимодействий (ЧИВ), образовании систем «человек–информация» (СЧИ) и возникновении информационно-обменных процессов (ИОП)
Связи и замены
Заменяющий:
-
Описание стандарта
ГОСТ Р 43.4.17-2020 Информационное обеспечение техники и операторской деятельности. Система «человек–информация». Висцериозис информационной деятельности
Страницы стандарта














