ГОСТ Р 43.4.22-2020 Информационное обеспечение техники и операторской деятельности. Система «человек–информация». Применение логическое информации для осуществления с проведением человекоинформационных взаимодействий лингвосемантизированной информационной деятельности
ГОСТ Р
Скачать ГОСТ в PDF или DOC бесплатно
Основная информация
Обозначение:
ГОСТ Р 43.4.22-2020
Статус:
Действует
Тип:
ГОСТ Р
Название русское:
Информационное обеспечение техники и операторской деятельности. Система «человек–информация». Применение логическое информации для осуществления с проведением человекоинформационных взаимодействий лингвосемантизированной информационной деятельности
Название английское:
Informational ensuring of equipment and operational activity System «man-information». Logical application of information for carrying out human-information interactions of linguo-semanticized activities
Даты и сроки
Дата издания:
12-25-20
Дата введения в действие:
05-01-21
Дата завершения срока действия:
-
Применение и описание
Область и условия применения:
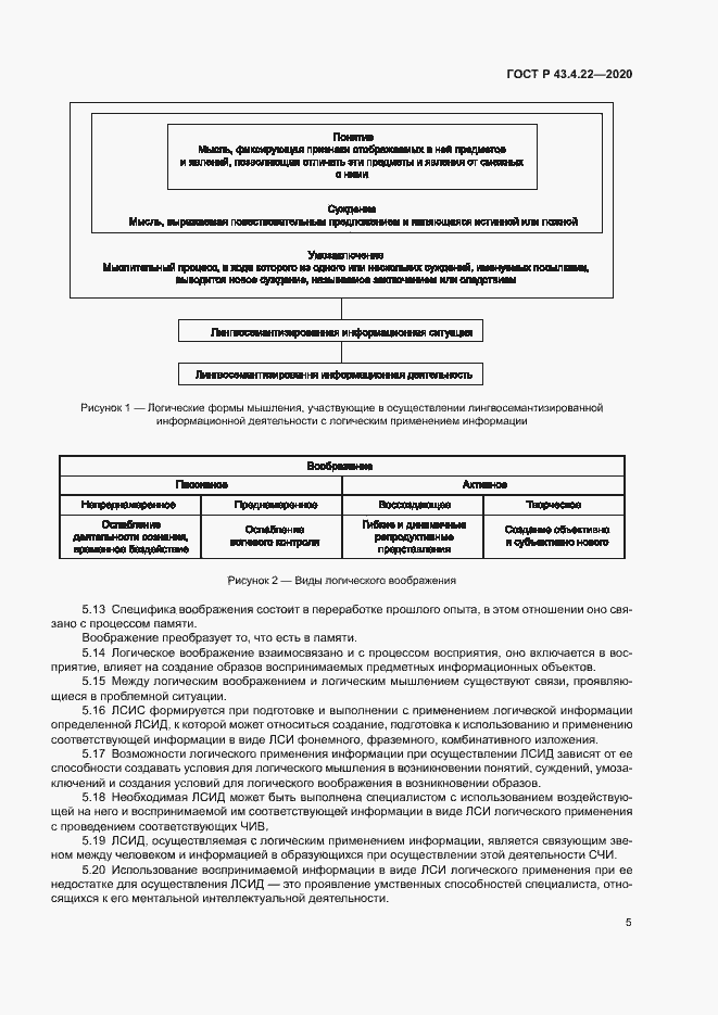
Настоящий стандарт устанавливает общие и основные положения по логическому применению лингвосемантизированной информации (ЛСИ) для осуществления с проведением человекоинформационного взаимодействия (ЧИВ) лингвосемантизированной информационной деятельности (ЛСИД). Положения настоящего стандарта могут быть реализованы для логического применения воздействующей и воспринимаемой ЛСИ с учетом умственных способностей специалиста при осуществлении с проведением ЧИВ ЛСИД. С применением настоящего стандарта ЛСИД может быть осуществлена при умственном немашинизированном, машинизированном (цифровизированном) выполнении с логическим применением ЛСИ специалистом гармонизированного ЧИВ при возникновении информационно-обменных процессов с осознанным и неосознанным образованием соответствующих функционирующих систем «человек–информация» определенного временного существования, влияющих на проведение необходимой информационной деятельности
Связи и замены
Заменяющий:
-
Описание стандарта
ГОСТ Р 43.4.22-2020 Информационное обеспечение техники и операторской деятельности. Система «человек–информация». Применение логическое информации для осуществления с проведением человекоинформационных взаимодействий лингвосемантизированной информационной деятельности
Страницы стандарта















