ГОСТ Р 56595-2015 Услуги населению. Услуги в сфере водного спорта. Технические требования. Часть 1. Услуги по торговле и техническому обслуживанию
ГОСТ Р
Скачать ГОСТ в PDF или DOC бесплатно
Основная информация
Обозначение:
ГОСТ Р 56595-2015
Статус:
Действует
Тип:
ГОСТ Р
Название русское:
Услуги населению. Услуги в сфере водного спорта. Технические требования. Часть 1. Услуги по торговле и техническому обслуживанию
Название английское:
Services to the public. Services in the field of water sports. Part 1. Services for trading and maintenance
Даты и сроки
Дата издания:
04-06-20
Дата введения в действие:
10-01-16
Дата завершения срока действия:
-
Применение и описание
Область и условия применения:
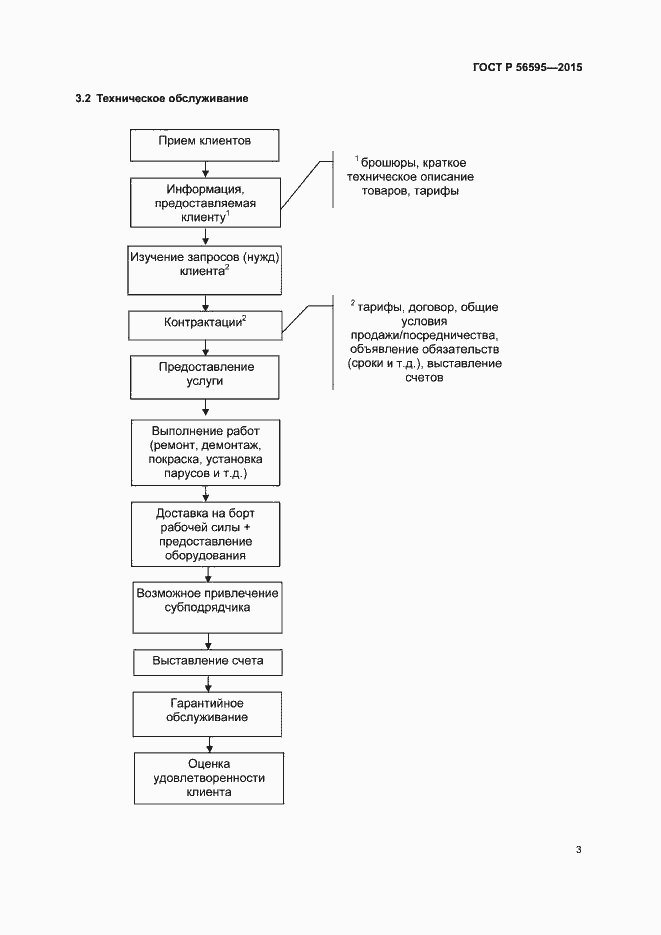
Настоящий стандарт устанавливает технические требования к услугам по торговле и техническому обслуживанию в сфере водного спорта. Настоящий стандарт распространяется на непосредственные отношения между клиентом (заказчиком) и предприятием, т. е. на осуществление деятельности непосредственно в месте оказания услуг торговли. Настоящий стандарт не применяют при осуществлении дистанционной торговли. Каждый вид деятельности описывается, основываясь на предоставляемой клиенту (заказчику) услуге, при этом реальный результат должен соответствовать потребностям клиента (заказчика), без навязывания применяемых средств, необходимых для предоставления услуги. Такое описание представляют в виде перечня функциональных характеристик, соответствующих уровню требуемого качества
Связи и замены
Заменяющий:
-
Описание стандарта
ГОСТ Р 56595-2015 Услуги населению. Услуги в сфере водного спорта. Технические требования. Часть 1. Услуги по торговле и техническому обслуживанию
Страницы стандарта


















