ГОСТ 27464-87 Системы обработки информации. Коды 7- и 8-битные, представляемые на перфокартах
ГОСТ
Скачать ГОСТ в PDF или DOC бесплатно
Основная информация
Обозначение:
ГОСТ 27464-87
Статус:
Действует
Тип:
ГОСТ
Название русское:
Системы обработки информации. Коды 7- и 8-битные, представляемые на перфокартах
Название английское:
Information processing systems. 7-Bit ano 8-bit codes represented on punched cards
Даты и сроки
Дата издания:
01-25-88
Дата введения в действие:
01-01-88
Дата завершения срока действия:
-
Применение и описание
Область и условия применения:
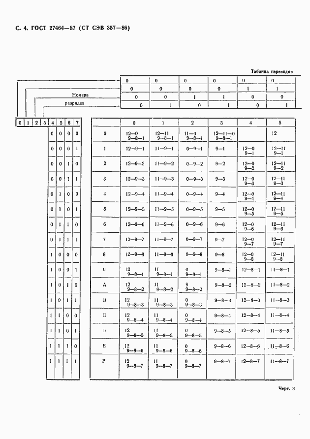
Настоящий стандарт устанавливает представление 7-битного кода КОИ-7 по ГОСТ 27463-87 и 8-битного кода КОИ-8 по ГОСТ 19768-74 на 12-позиционных перфокартах (КПК-12) по СТ СЭВ 5144-85, применяемых в устройствах подготовки и ввода-вывода данных на перфокартах
Связи и замены
Заменяющий:
-
Описание стандарта
ГОСТ 27464-87 Системы обработки информации. Коды 7- и 8-битные, представляемые на перфокартах
Страницы стандарта








