ГОСТ Р 54412-2011 Информационные технологии. Биометрия. Обучающая программа по биометрии
ГОСТ Р
Скачать ГОСТ в PDF или DOC бесплатно
Основная информация
Обозначение:
ГОСТ Р 54412-2011
Статус:
Заменен
Тип:
ГОСТ Р
Название русское:
Информационные технологии. Биометрия. Обучающая программа по биометрии
Название английское:
Information technology. Biometrics. Biometrics tutorial
Даты и сроки
Дата издания:
12-13-12
Дата введения в действие:
07-01-12
Дата завершения срока действия:
06-01-20
Применение и описание
Область и условия применения:
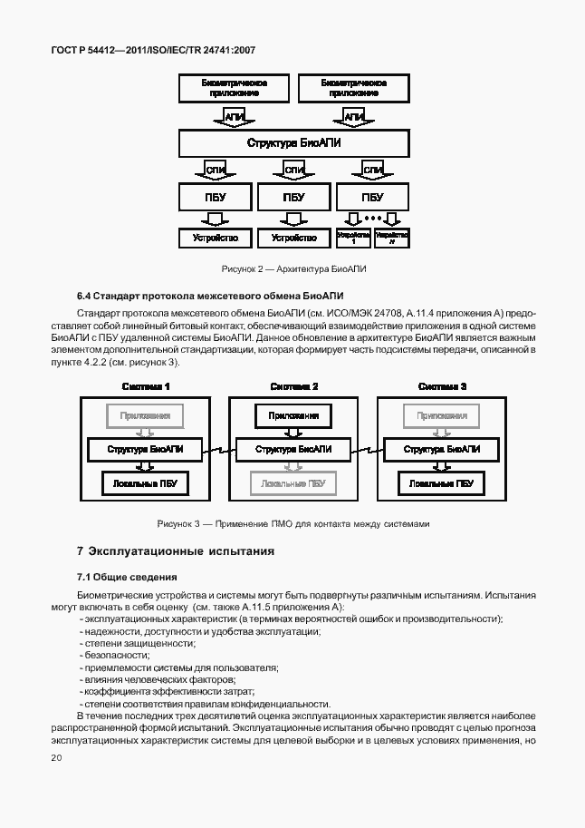
Настоящий стандарт определяет структуру обучающей программы по биометрии. В обучающую программу включено описание архитектуры биометрических процессов и процессов как таковых. В приложениях настоящего стандарта представлены дополнительные сведения о национальных стандартах в области биометрии, термины и определения, применяющиеся в данных национальных стандартах в области биометрии
Связи и замены
Заменяющий:
ГОСТ Р 54412-2019
Описание стандарта
ГОСТ Р 54412-2011 Информационные технологии. Биометрия. Обучающая программа по биометрии
Страницы стандарта

























































