ГОСТ Р ИСО/МЭК 15434-2007 Автоматическая идентификация. Синтаксис для средств автоматического сбора данных высокой емкости
ГОСТ Р ИСО/МЭК
Скачать ГОСТ в PDF или DOC бесплатно
Основная информация
Обозначение:
ГОСТ Р ИСО/МЭК 15434-2007
Статус:
Отменен
Тип:
ГОСТ Р ИСО/МЭК
Название русское:
Автоматическая идентификация. Синтаксис для средств автоматического сбора данных высокой емкости
Название английское:
Automatic identification. Syntax for high-capacity automatic data capture media
Даты и сроки
Дата издания:
01-12-19
Дата введения в действие:
07-01-08
Дата завершения срока действия:
06-01-22
Применение и описание
Область и условия применения:
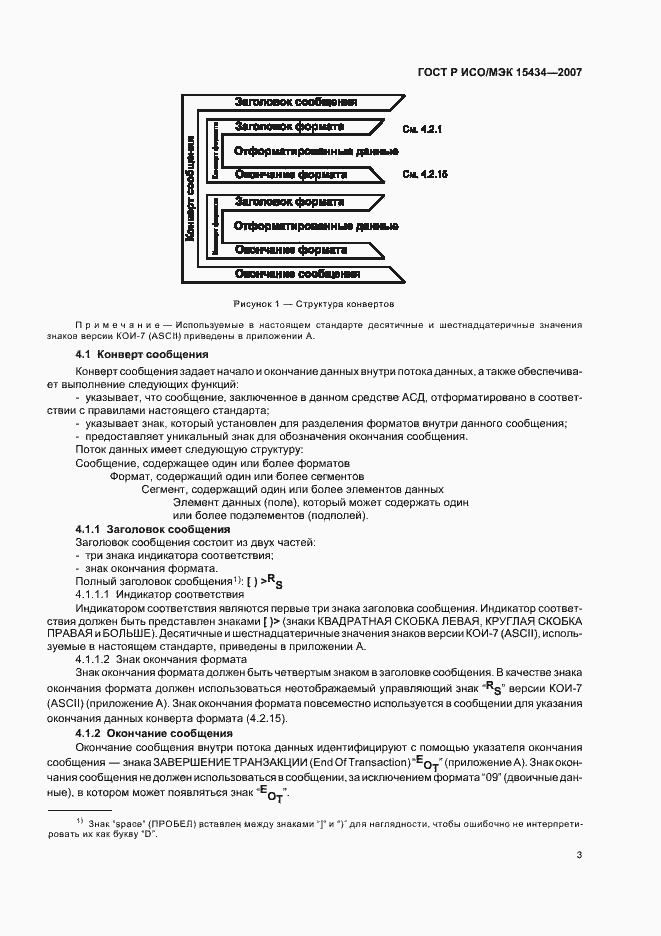
Настоящий стандарт устанавливает структуру передачи, синтаксис, кодирование сообщений и форматы данных для средств автоматического сбора данных (средств АСД) высокой емкости, используемых торговыми партнерами (в частности, поставщиками и потребителями), а также, где это возможно, перевозчиками, например при обработке коносаментов, при сортировке и отслеживании движения и мест нахождения грузов. Настоящий стандарт устанавливает синтаксис для средств АСД, основанный на наборе знаков по ИСО/МЭК 646. Настоящий стандарт не распространяется на структуры данных (например, структуры данных CII Центра информатизации промышленности в Японии), ссылки на которые использованы в настоящем стандарте
Связи и замены
Заменяющий:
-
Описание стандарта
ГОСТ Р ИСО/МЭК 15434-2007 Автоматическая идентификация. Синтаксис для средств автоматического сбора данных высокой емкости
Страницы стандарта



















