ГОСТ Р ИСО/МЭК 16022-2008 Автоматическая идентификация. Кодирование штриховое. Спецификация символики Data Matrix
ГОСТ Р ИСО/МЭК
Скачать ГОСТ в PDF или DOC бесплатно
Основная информация
Обозначение:
ГОСТ Р ИСО/МЭК 16022-2008
Статус:
Действует
Тип:
ГОСТ Р ИСО/МЭК
Название русское:
Автоматическая идентификация. Кодирование штриховое. Спецификация символики Data Matrix
Название английское:
Automatic identification. Bar coding. Data Matrix symbology specification
Даты и сроки
Дата издания:
08-26-09
Дата введения в действие:
01-01-10
Дата завершения срока действия:
-
Применение и описание
Область и условия применения:
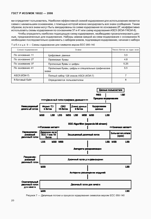
Настоящий стандарт устанавливает требования к символике Data Matrix, а также параметры символики, кодирование знаков данных, форматы символов, требования к размерам и качеству печати, правила исправления ошибок, алгоритм декодирования и прикладные параметры, выбираемые пользователем. Настоящий стандарт распространяется на все символы символики Data Matrix, напечатанные или нанесенные каким-либо другим способом
Связи и замены
Заменяющий:
-
Изменения и переиздания
Список изменений:
№1 от (рег. ) «Срок действия продлен»
Описание стандарта
ГОСТ Р ИСО/МЭК 16022-2008 Автоматическая идентификация. Кодирование штриховое. Спецификация символики Data Matrix
Страницы стандарта


































































































































Приложение №1: Изменение №1 к ГОСТ Р ИСО/МЭК 16022-2008 Обозначение: Изменение №1 к ГОСТ Р ИСО/МЭК 16022-2008 Дата введения в действие: 01.01.2014

Приложение №1: Изменение №1 к ГОСТ Р ИСО/МЭК 16022-2008 Обозначение: Изменение №1 к ГОСТ Р ИСО/МЭК 16022-2008 Дата введения в действие: 01.01.2014

Приложение №1: Изменение №1 к ГОСТ Р ИСО/МЭК 16022-2008 Обозначение: Изменение №1 к ГОСТ Р ИСО/МЭК 16022-2008 Дата введения в действие: 01.01.2014

Приложение №1: Изменение №1 к ГОСТ Р ИСО/МЭК 16022-2008 Обозначение: Изменение №1 к ГОСТ Р ИСО/МЭК 16022-2008 Дата введения в действие: 01.01.2014

Приложение №1: Изменение №1 к ГОСТ Р ИСО/МЭК 16022-2008 Обозначение: Изменение №1 к ГОСТ Р ИСО/МЭК 16022-2008 Дата введения в действие: 01.01.2014

Приложение №1: Изменение №1 к ГОСТ Р ИСО/МЭК 16022-2008 Обозначение: Изменение №1 к ГОСТ Р ИСО/МЭК 16022-2008 Дата введения в действие: 01.01.2014

Приложение №1: Изменение №1 к ГОСТ Р ИСО/МЭК 16022-2008 Обозначение: Изменение №1 к ГОСТ Р ИСО/МЭК 16022-2008 Дата введения в действие: 01.01.2014

Приложение №1: Изменение №1 к ГОСТ Р ИСО/МЭК 16022-2008 Обозначение: Изменение №1 к ГОСТ Р ИСО/МЭК 16022-2008 Дата введения в действие: 01.01.2014

Приложение №1: Изменение №1 к ГОСТ Р ИСО/МЭК 16022-2008 Обозначение: Изменение №1 к ГОСТ Р ИСО/МЭК 16022-2008 Дата введения в действие: 01.01.2014

Приложение №1: Изменение №1 к ГОСТ Р ИСО/МЭК 16022-2008 Обозначение: Изменение №1 к ГОСТ Р ИСО/МЭК 16022-2008 Дата введения в действие: 01.01.2014
