ГОСТ Р ИСО/МЭК 19794-14-2017 Информационные технологии. Биометрия. Форматы обмена биометрическими данными. Часть 14. Данные ДНК
ГОСТ Р ИСО/МЭК
Скачать ГОСТ в PDF или DOC бесплатно
Основная информация
Обозначение:
ГОСТ Р ИСО/МЭК 19794-14-2017
Статус:
Действует
Тип:
ГОСТ Р ИСО/МЭК
Название русское:
Информационные технологии. Биометрия. Форматы обмена биометрическими данными. Часть 14. Данные ДНК
Название английское:
Information technology. Biometrics. Biometric data interchange formats. Part 14. DNA data
Даты и сроки
Дата издания:
02-04-19
Дата введения в действие:
12-01-18
Дата завершения срока действия:
-
Применение и описание
Область и условия применения:
Настоящий стандарт устанавливает формат обмена данными ДНК для технологий идентификации или верификации личности
Связи и замены
Заменяющий:
-
Описание стандарта
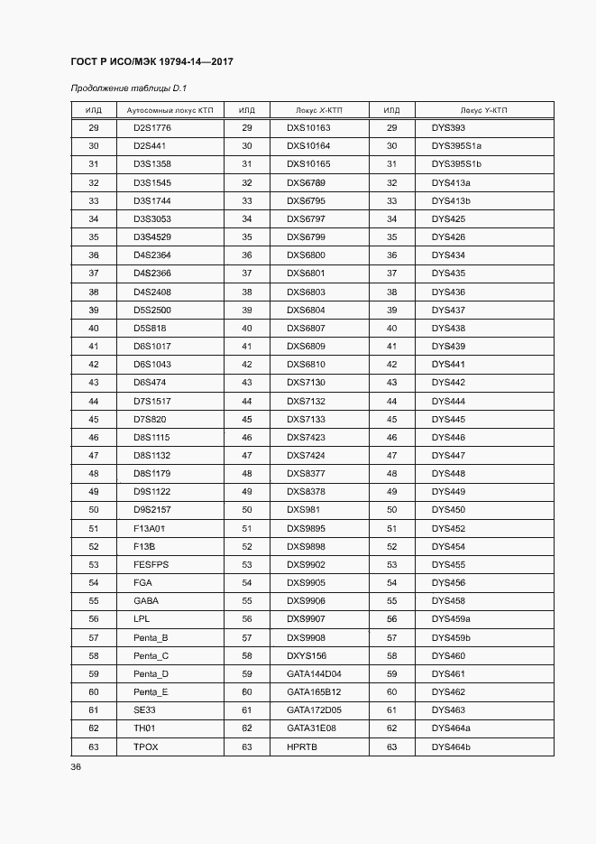
ГОСТ Р ИСО/МЭК 19794-14-2017 Информационные технологии. Биометрия. Форматы обмена биометрическими данными. Часть 14. Данные ДНК
Страницы стандарта












































