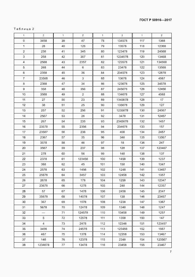
ГОСТ Р 50916-2017 Восьмибитный код обмена и обработки информации для восьмиточечного представления символов в системе Брайля
ГОСТ Р
Скачать ГОСТ в PDF или DOC бесплатно
Основная информация
Обозначение:
ГОСТ Р 50916-2017
Статус:
Действует
Тип:
ГОСТ Р
Название русское:
Восьмибитный код обмена и обработки информации для восьмиточечного представления символов в системе Брайля
Название английское:
8-bit code of information interchange and processing for 8-point representations of characters in Braille system
Даты и сроки
Дата издания:
10-05-18
Дата введения в действие:
01-01-19
Дата завершения срока действия:
-
Применение и описание
Область и условия применения:
Настоящий стандарт распространяется на символы, используемые при обмене и обработке информации в устройствах подготовки, ввода, вывода, обработки, хранения и передачи данных в системах обработки информации, использующих символы системы Брайля
Связи и замены
Заменяющий:
-
Взамен:
ГОСТ Р 50916-96
Описание стандарта
ГОСТ Р 50916-2017 Восьмибитный код обмена и обработки информации для восьмиточечного представления символов в системе Брайля
Страницы стандарта











