ГОСТ ISO/IEC 15438-2018 Информационные технологии. Технологии автоматической идентификации и сбора данных. Спецификация символики штрихового кода PDF417
ГОСТ Р ИСО/МЭК
Скачать ГОСТ в PDF или DOC бесплатно
Основная информация
Обозначение:
ГОСТ ISO/IEC 15438-2018
Статус:
Действует
Тип:
ГОСТ Р ИСО/МЭК
Название русское:
Информационные технологии. Технологии автоматической идентификации и сбора данных. Спецификация символики штрихового кода PDF417
Название английское:
Information technology. Automatic identification and data capture techniques. PDF417 bar code symbology specification
Даты и сроки
Дата регистрации:
01-30-18
Дата издания:
05-21-18
Дата введения в действие:
05-01-19
Дата завершения срока действия:
-
Применение и описание
Область и условия применения:
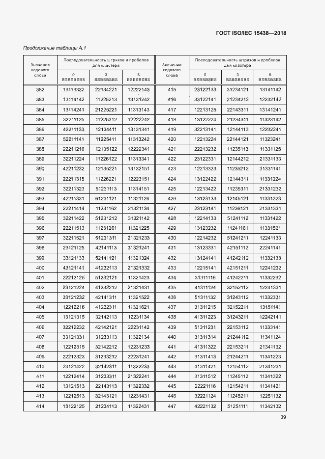
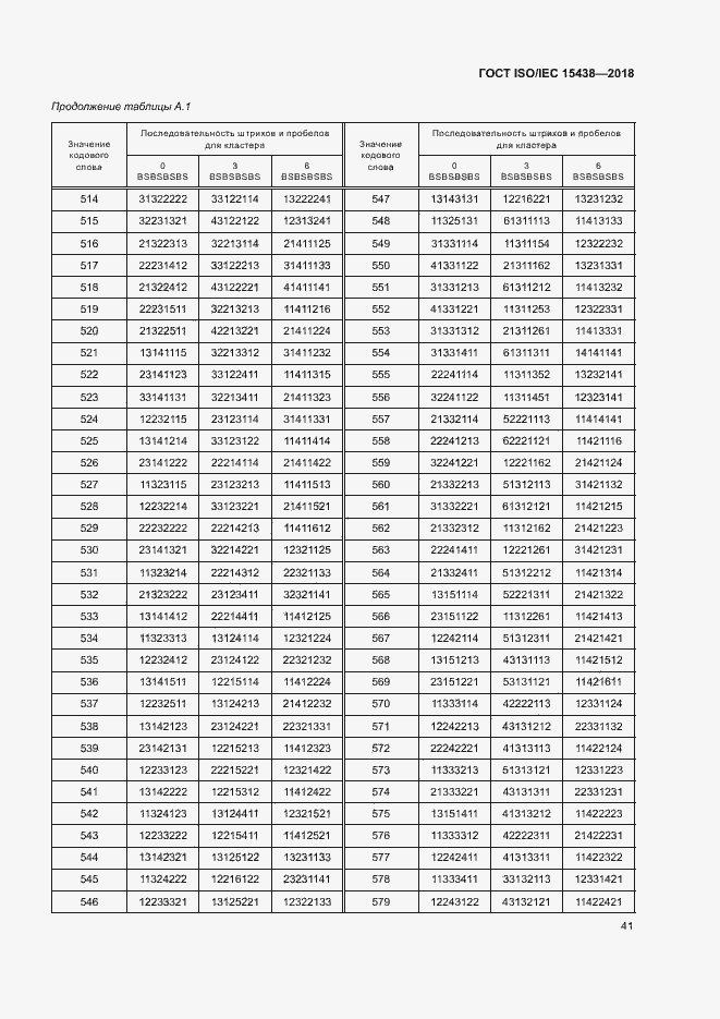
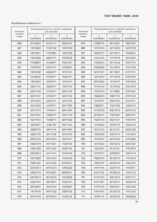
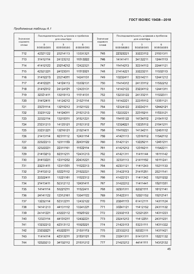
Настоящий стандарт устанавливает: - требования к символике штрихового кода PDF4171; - показатели символики PDF417, кодирование знаков данных, форматы символов, размеры, правила коррекции ошибки, рекомендуемый алгоритм декодирования и совокупность параметров применения
Связи и замены
Заменяющий:
-
Взамен:
ГОСТ 31016-2003
Описание стандарта
ГОСТ ISO/IEC 15438-2018 Информационные технологии. Технологии автоматической идентификации и сбора данных. Спецификация символики штрихового кода PDF417
Страницы стандарта
















































































































