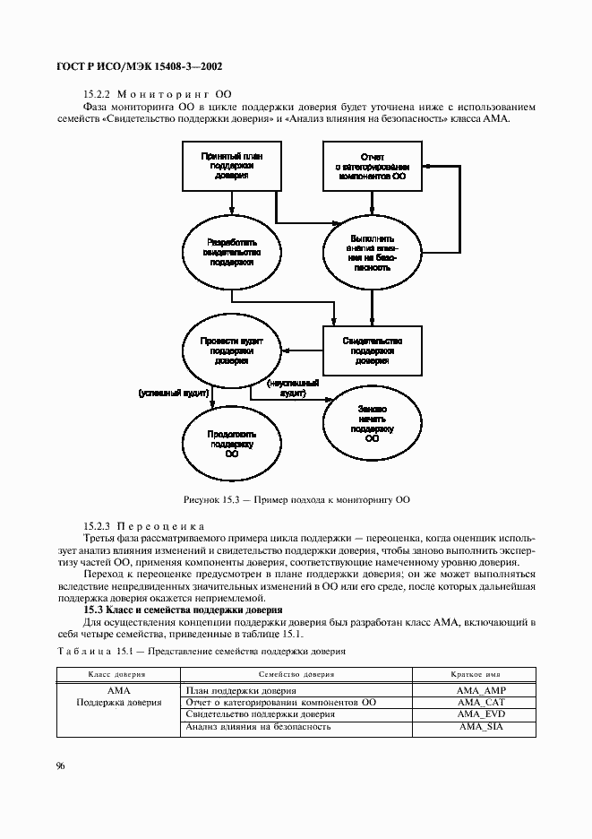
ГОСТ Р ИСО/МЭК 15408-3-2002 Информационная технология. Методы и средства обеспечения безопасности. Критерии оценки безопасности информационных технологий. Часть 3. Требования доверия к безопасности
ГОСТ Р ИСО/МЭК
Скачать ГОСТ в PDF или DOC бесплатно
Основная информация
Обозначение:
ГОСТ Р ИСО/МЭК 15408-3-2002
Статус:
Заменен
Тип:
ГОСТ Р ИСО/МЭК
Название русское:
Информационная технология. Методы и средства обеспечения безопасности. Критерии оценки безопасности информационных технологий. Часть 3. Требования доверия к безопасности
Название английское:
Information technology. Security techniques. Evaluation criteria for IT security. Part 3. Security assurance requirements
Даты и сроки
Дата издания:
08-23-02
Дата введения в действие:
01-01-04
Дата завершения срока действия:
10-01-09
Применение и описание
Область и условия применения:
Настоящий стандарт определяет требования доверия к безопасности и включает в себя оценочные уровни доверия, определяющие шкалу для измерения доверия, собственно компоненты доверия, из которых составлены уровни доверия, и критерии для оценки ПЗ и ЗБ
Связи и замены
Заменяющий:
ГОСТ Р ИСО/МЭК 15408-3-2008
Описание стандарта
ГОСТ Р ИСО/МЭК 15408-3-2002 Информационная технология. Методы и средства обеспечения безопасности. Критерии оценки безопасности информационных технологий. Часть 3. Требования доверия к безопасности
Страницы стандарта
















































































































