ГОСТ Р ИСО/МЭК 15408-3-2008 Информационная технология. Методы и средства обеспечения безопасности. Критерии оценки безопасности информационных технологий. Часть 3. Требования доверия к безопасности
ГОСТ Р ИСО/МЭК
Скачать ГОСТ в PDF или DOC бесплатно
Основная информация
Обозначение:
ГОСТ Р ИСО/МЭК 15408-3-2008
Статус:
Заменен
Тип:
ГОСТ Р ИСО/МЭК
Название русское:
Информационная технология. Методы и средства обеспечения безопасности. Критерии оценки безопасности информационных технологий. Часть 3. Требования доверия к безопасности
Название английское:
Information technology. Security techniques. Evaluation criteria for IT security. Part 3. Security assurance requirements
Даты и сроки
Дата издания:
06-16-09
Дата введения в действие:
10-01-09
Дата завершения срока действия:
09-01-14
Применение и описание
Область и условия применения:
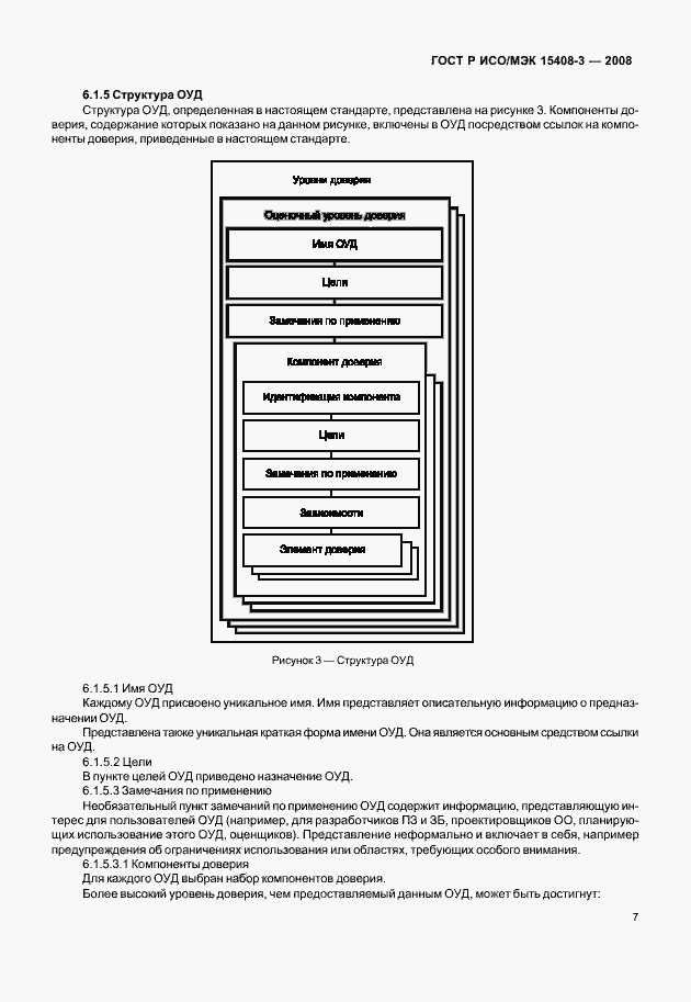
Настоящий стандарт устанавливает требования доверия ИСО/МЭК 15408 и включает оценочные уровни доверия, определяющие шкалу для измерения доверия, собственно компоненты доверия, из которых составлены уровни доверия, и критерии для оценки профиля защиты и задания по безопасности
Связи и замены
Заменяющий:
ГОСТ Р ИСО/МЭК 15408-3-2013
Взамен:
ГОСТ Р ИСО/МЭК 15408-3-2002
Описание стандарта
ГОСТ Р ИСО/МЭК 15408-3-2008 Информационная технология. Методы и средства обеспечения безопасности. Критерии оценки безопасности информационных технологий. Часть 3. Требования доверия к безопасности
Страницы стандарта





















































































































