ГОСТ Р ИСО/МЭК 15408-3-2013 Информационная технология. Методы и средства обеспечения безопасности. Критерии оценки безопасности информационных технологий. Часть 3. Компоненты доверия к безопасности
ГОСТ Р ИСО/МЭК
Скачать ГОСТ в PDF или DOC бесплатно
Основная информация
Обозначение:
ГОСТ Р ИСО/МЭК 15408-3-2013
Статус:
Действует
Тип:
ГОСТ Р ИСО/МЭК
Название русское:
Информационная технология. Методы и средства обеспечения безопасности. Критерии оценки безопасности информационных технологий. Часть 3. Компоненты доверия к безопасности
Название английское:
Information technology. Security techniques. Evaluation criteria for IT security. Part 3. Security assurance requirements
Даты и сроки
Дата издания:
06-23-14
Дата введения в действие:
09-01-14
Дата завершения срока действия:
-
Применение и описание
Область и условия применения:
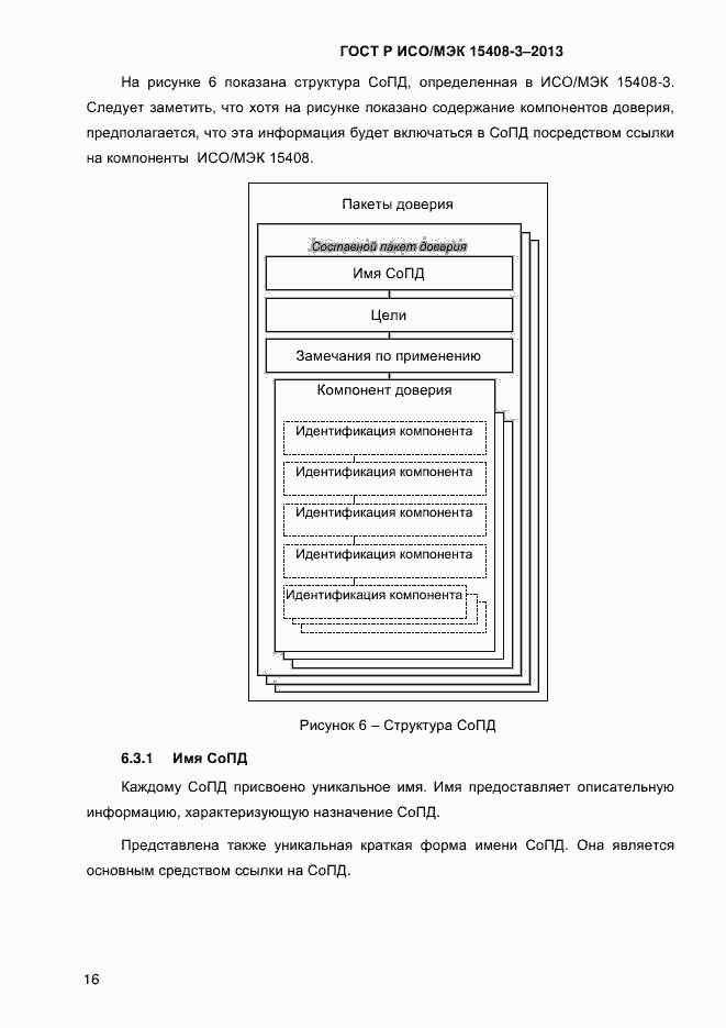
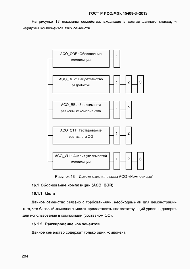
Данная часть ИСО/МЭК 15408 определяет требования доверия ИСО/МЭК 15408 и включает оценочные уровни доверия, определяющие шкалу для измерения доверия для ОО-компонентов, составные пакеты доверия, определяющие шкалу для измерения доверия для составных ОО, отдельные компоненты доверия, из которых составлены уровни и пакеты доверия, а также критерии для оценки ПЗ и ЗБ
Связи и замены
Заменяющий:
-
Взамен:
ГОСТ Р ИСО/МЭК 15408-3-2008
Описание стандарта
ГОСТ Р ИСО/МЭК 15408-3-2013 Информационная технология. Методы и средства обеспечения безопасности. Критерии оценки безопасности информационных технологий. Часть 3. Компоненты доверия к безопасности
Страницы стандарта

















































































































































































































































































