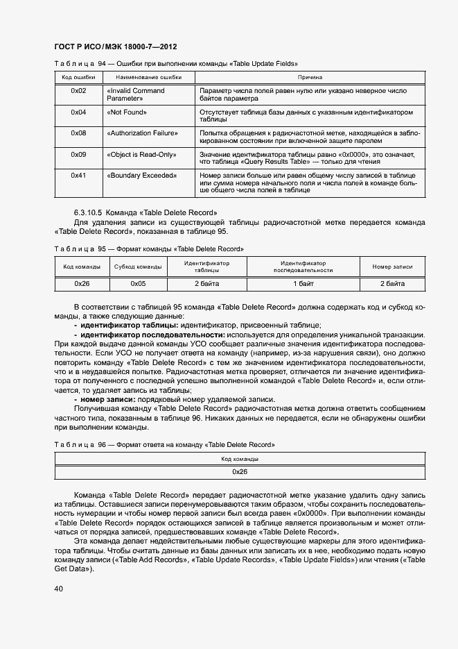
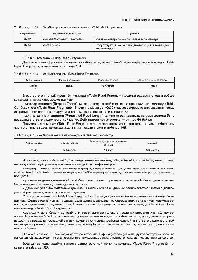
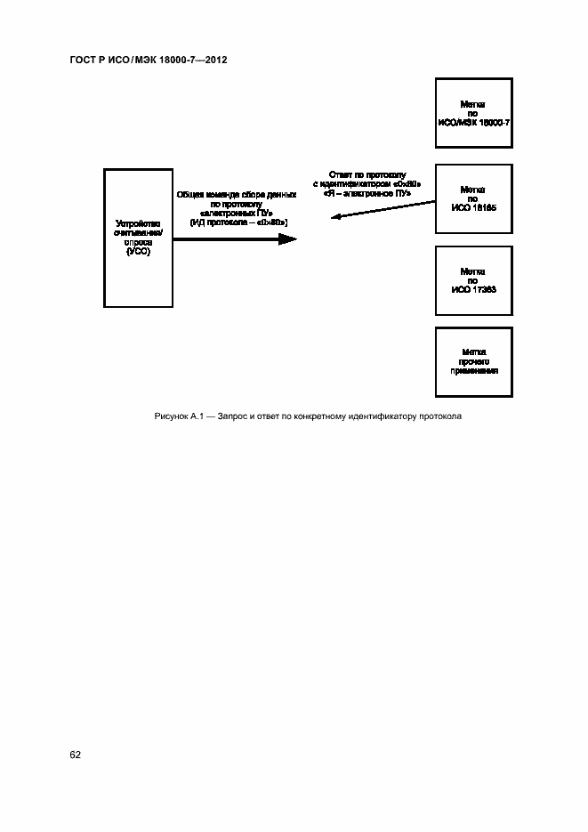
ГОСТ Р ИСО/МЭК 18000-7-2012 Информационные технологии. Идентификация радиочастотная для управления предметами. Часть 7. Параметры активного радиоинтерфейса для связи на частоте 433 МГц
ГОСТ Р ИСО/МЭК
Скачать ГОСТ в PDF или DOC бесплатно
Основная информация
Обозначение:
ГОСТ Р ИСО/МЭК 18000-7-2012
Статус:
Действует
Тип:
ГОСТ Р ИСО/МЭК
Название русское:
Информационные технологии. Идентификация радиочастотная для управления предметами. Часть 7. Параметры активного радиоинтерфейса для связи на частоте 433 МГц
Название английское:
Information technology. Radio frequency identification for item management. Part 7. Parameters for active air interface communications at 433 MHz
Даты и сроки
Дата издания:
02-11-14
Дата введения в действие:
07-01-13
Дата завершения срока действия:
-
Применение и описание
Область и условия применения:
Эта часть стандарта устанавливает требования к радиоинтерфейсу для систем радиочастотной идентификаци с активными радиочастотными метками, работающих на частоте 433 МГц и используемых для управления предметами, и содержит общее техническое описание устройств радиочастотной идентификации, которое может быть использовано при разработке стандартов по применению систем радиочастотной идентификации. Эта часть стандарта должна способствовать обеспечению совместимости и улучшению способности к взаимодействию устройств растущего рынка РЧИ в международном масштабе
Связи и замены
Заменяющий:
-
Описание стандарта
ГОСТ Р ИСО/МЭК 18000-7-2012 Информационные технологии. Идентификация радиочастотная для управления предметами. Часть 7. Параметры активного радиоинтерфейса для связи на частоте 433 МГц
Страницы стандарта















































































