ГОСТ Р ИСО/МЭК 18045-2013 Информационная технология. Методы и средства обеспечения безопасности. Методология оценки безопасности информационных технологий
ГОСТ Р ИСО/МЭК
Скачать ГОСТ в PDF или DOC бесплатно
Основная информация
Обозначение:
ГОСТ Р ИСО/МЭК 18045-2013
Статус:
Действует
Тип:
ГОСТ Р ИСО/МЭК
Название русское:
Информационная технология. Методы и средства обеспечения безопасности. Методология оценки безопасности информационных технологий
Название английское:
Information technology. Security techniques. Methodology for IT security evaluation
Даты и сроки
Дата издания:
06-02-14
Дата введения в действие:
07-01-14
Дата завершения срока действия:
-
Применение и описание
Область и условия применения:
Настоящий стандарт – документ, сопровождающий ИСО/МЭК 15408 «Информационная технология – Методы и средства обеспечения безопасности – Критерии оценки безопасности информационных технологий». Настоящий стандарт описывает минимум действий, выполняемых оценщиком при проведении оценки по ИСО/МЭК 15408 с использованием критериев и свидетельств оценки, определенных в ИСО/МЭК 15408. Настоящий стандарт не определяет действия оценщика для некоторых компонентов высокого доверия ИСО/МЭК 15408, по оценке которых пока нет единых согласованных руководств
Связи и замены
Заменяющий:
-
Взамен:
ГОСТ Р ИСО/МЭК 18045-2008
Описание стандарта
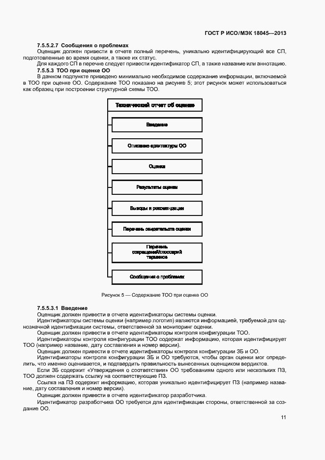
ГОСТ Р ИСО/МЭК 18045-2013 Информационная технология. Методы и средства обеспечения безопасности. Методология оценки безопасности информационных технологий
Страницы стандарта
























































































































































































































































