ГОСТ Р ИСО/МЭК 27000-2012 Информационная технология. Методы и средства обеспечения безопасности. Системы менеджмента информационной безопасности. Общий обзор и терминология
ГОСТ Р ИСО/МЭК
Скачать ГОСТ в PDF или DOC бесплатно
Основная информация
Обозначение:
ГОСТ Р ИСО/МЭК 27000-2012
Статус:
Заменен
Тип:
ГОСТ Р ИСО/МЭК
Название русское:
Информационная технология. Методы и средства обеспечения безопасности. Системы менеджмента информационной безопасности. Общий обзор и терминология
Название английское:
Information technology. Security techniques. Information security management systems. Overview and vocabulary
Даты и сроки
Дата издания:
01-25-19
Дата введения в действие:
12-01-13
Дата завершения срока действия:
11-30-21
Применение и описание
Область и условия применения:
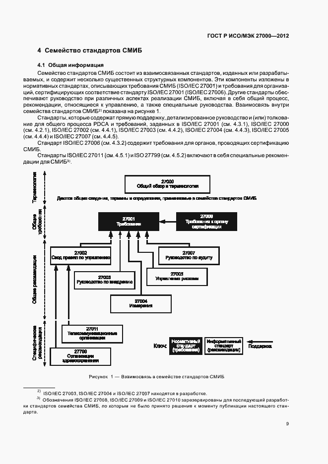
Этот международный стандарт содержит: - обзор семейства стандартов СМИБ; - введение в систему менеджмента информационной безопасности (СМИБ); - краткое описание процесса «План (Plan) - Осуществление (Do) - Проверка (Check) - Действие (Act)» (PDCA); - термины и определения для использования в семействе стандартов СМИБ. Этот международный стандарт применим ко всем типам организаций (например, коммерческие предприятия, правительственные учреждения, некоммерческие организации)
Связи и замены
Заменяющий:
ГОСТ Р ИСО/МЭК 27000-2021
Описание стандарта
ГОСТ Р ИСО/МЭК 27000-2012 Информационная технология. Методы и средства обеспечения безопасности. Системы менеджмента информационной безопасности. Общий обзор и терминология
Страницы стандарта





















