ГОСТ Р 34.10-2001 Информационная технология. Криптографическая защита информации. Процессы формирования и проверки электронной цифровой подписи
ГОСТ Р
Скачать ГОСТ в PDF или DOC бесплатно
Основная информация
Обозначение:
ГОСТ Р 34.10-2001
Статус:
Заменен
Тип:
ГОСТ Р
Название русское:
Информационная технология. Криптографическая защита информации. Процессы формирования и проверки электронной цифровой подписи
Название английское:
Information technology. Cryptographic data security. Formation and verification processes of [electronic] digital signature
Даты и сроки
Дата издания:
10-29-01
Дата введения в действие:
07-01-02
Дата завершения срока действия:
01-01-13
Применение и описание
Область и условия применения:
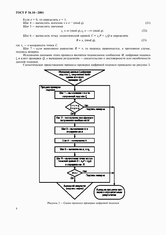
Настоящий стандарт определяет схему электронной цифровой подписи, процессы формирования и проверки цифровой подписи под заданным сообщением (документом), передаваемым по незащищенным телекоммуникационным каналам общего пользования в системах обработки информации различного назначения
Связи и замены
Заменяющий:
ГОСТ Р 34.10-2012
Взамен:
ГОСТ Р 34.10-94
Описание стандарта
ГОСТ Р 34.10-2001 Информационная технология. Криптографическая защита информации. Процессы формирования и проверки электронной цифровой подписи
Страницы стандарта















