ГОСТ Р 51294.9-2002 Автоматическая идентификация. Кодирование штриховое. Спецификации символики PDF417 (ПДФ417)
ГОСТ Р
Скачать ГОСТ в PDF или DOC бесплатно
Основная информация
Обозначение:
ГОСТ Р 51294.9-2002
Статус:
Отменен
Тип:
ГОСТ Р
Название русское:
Автоматическая идентификация. Кодирование штриховое. Спецификации символики PDF417 (ПДФ417)
Название английское:
Automatic identification. Bar coding. Symbology specifications PDF417
Даты и сроки
Дата издания:
11-18-02
Дата введения в действие:
01-01-03
Дата завершения срока действия:
05-01-19
Применение и описание
Область и условия применения:
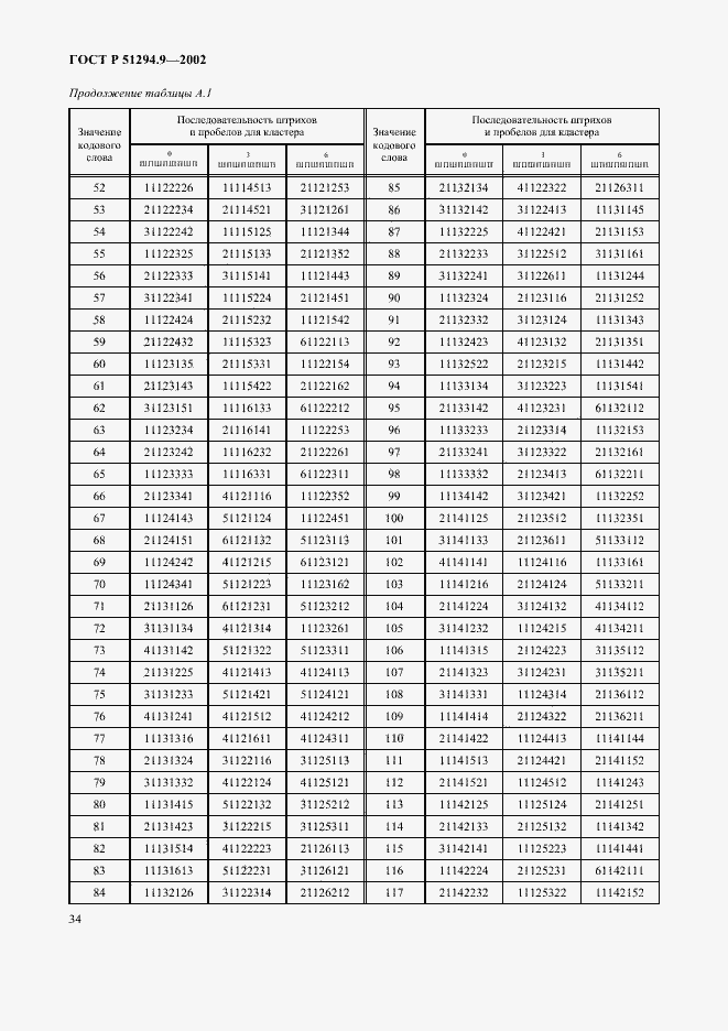
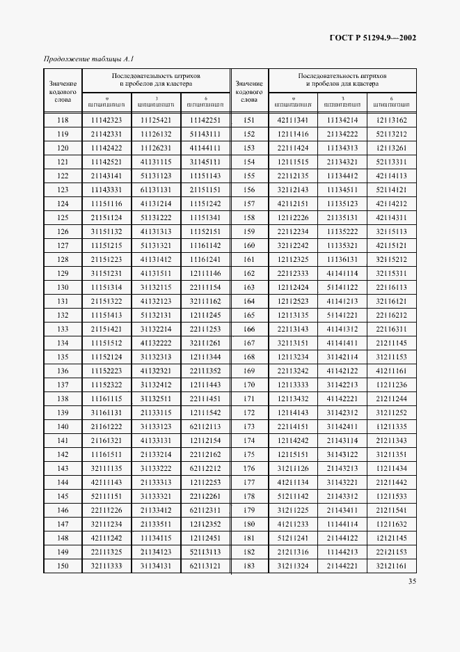
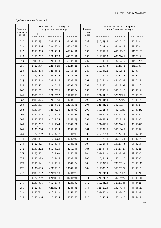
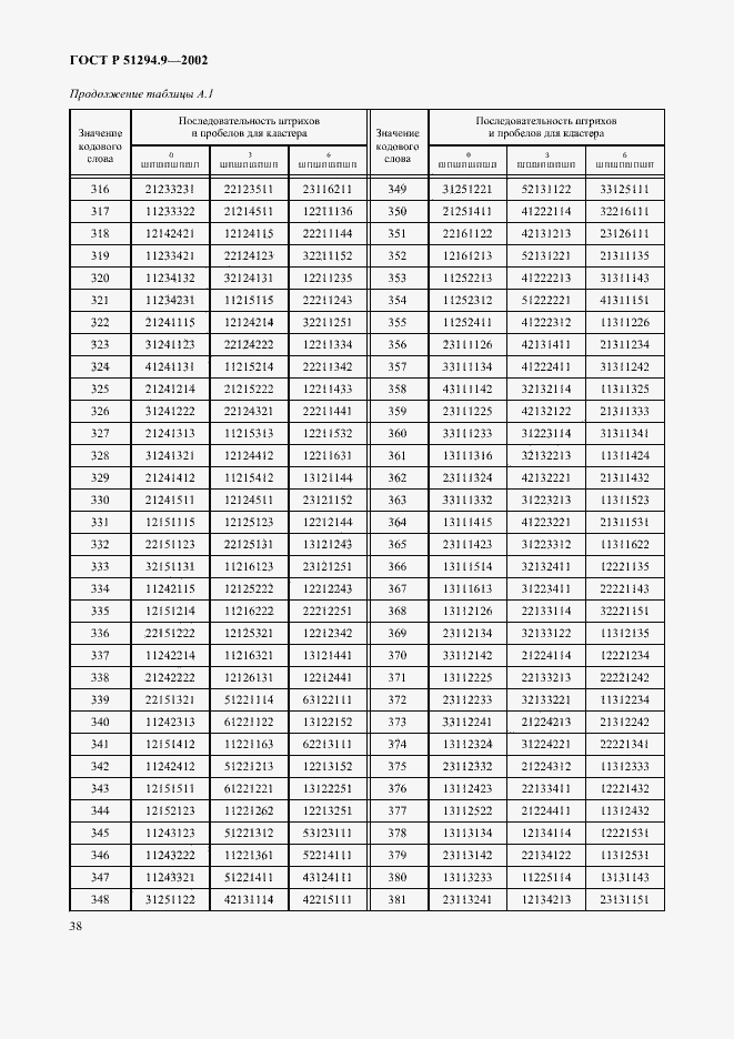
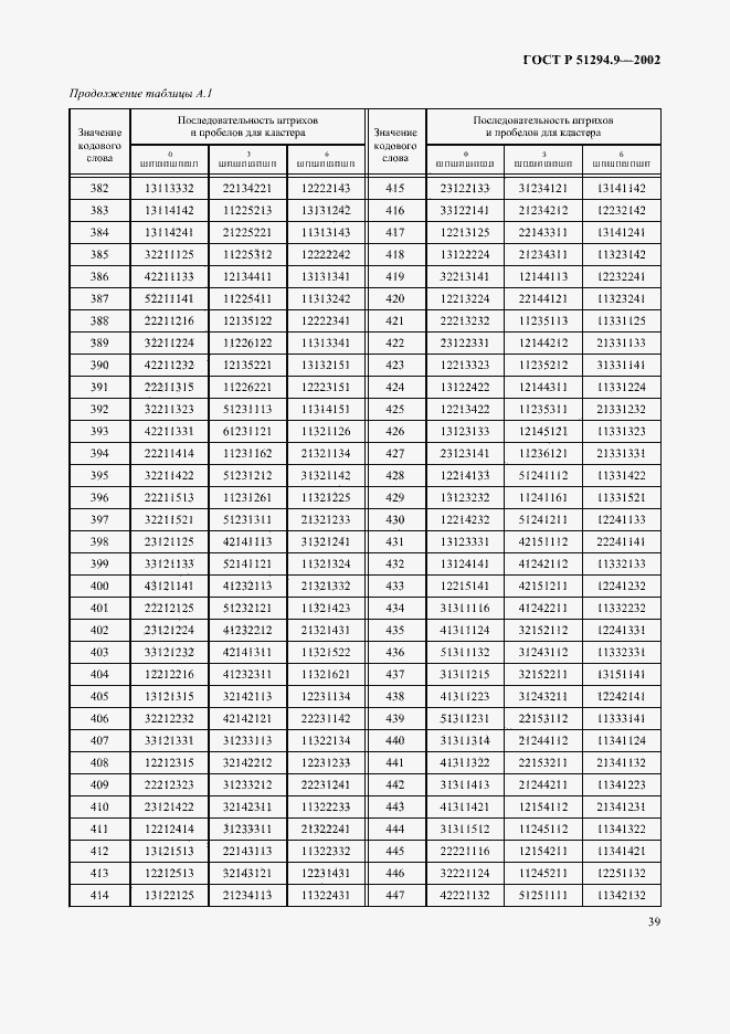
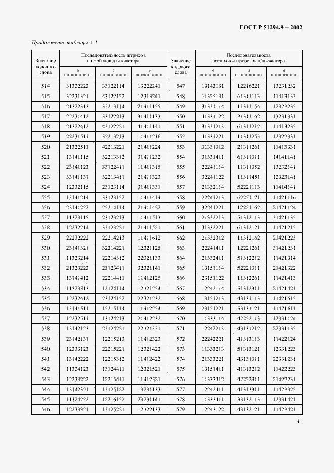
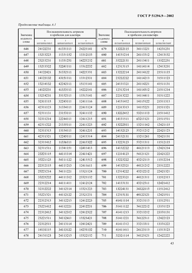
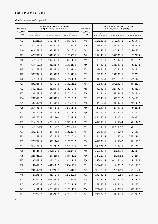
Настоящий стандарт устанавливает:- требования к символике штрихового кода PDF417;- показатели символики PDF417, кодирование знаков данных, форматы символов, размеры, правила коррекции ошибки, алгоритм декодирования и совокупность параметров применения
Связи и замены
Заменяющий:
-
Изменения и переиздания
Список изменений:
№0 от (рег. ) «Текстовое изменение; Изменено заглавие»
Описание стандарта
ГОСТ Р 51294.9-2002 Автоматическая идентификация. Кодирование штриховое. Спецификации символики PDF417 (ПДФ417)
Страницы стандарта





























































































