ГОСТ 31016-2003 Автоматическая идентификация. Кодирование штриховое. Спецификации символики PDF417 (ПДФ417)
ГОСТ
Скачать ГОСТ в PDF или DOC бесплатно
Основная информация
Обозначение:
ГОСТ 31016-2003
Статус:
Заменен
Тип:
ГОСТ
Название русское:
Автоматическая идентификация. Кодирование штриховое. Спецификации символики PDF417 (ПДФ417)
Название английское:
Automatic identification. Bar coding. Symbology specifications PDF417
Даты и сроки
Дата регистрации:
12-05-03
Дата введения в действие:
05-01-05
Дата завершения срока действия:
05-01-19
Применение и описание
Область и условия применения:
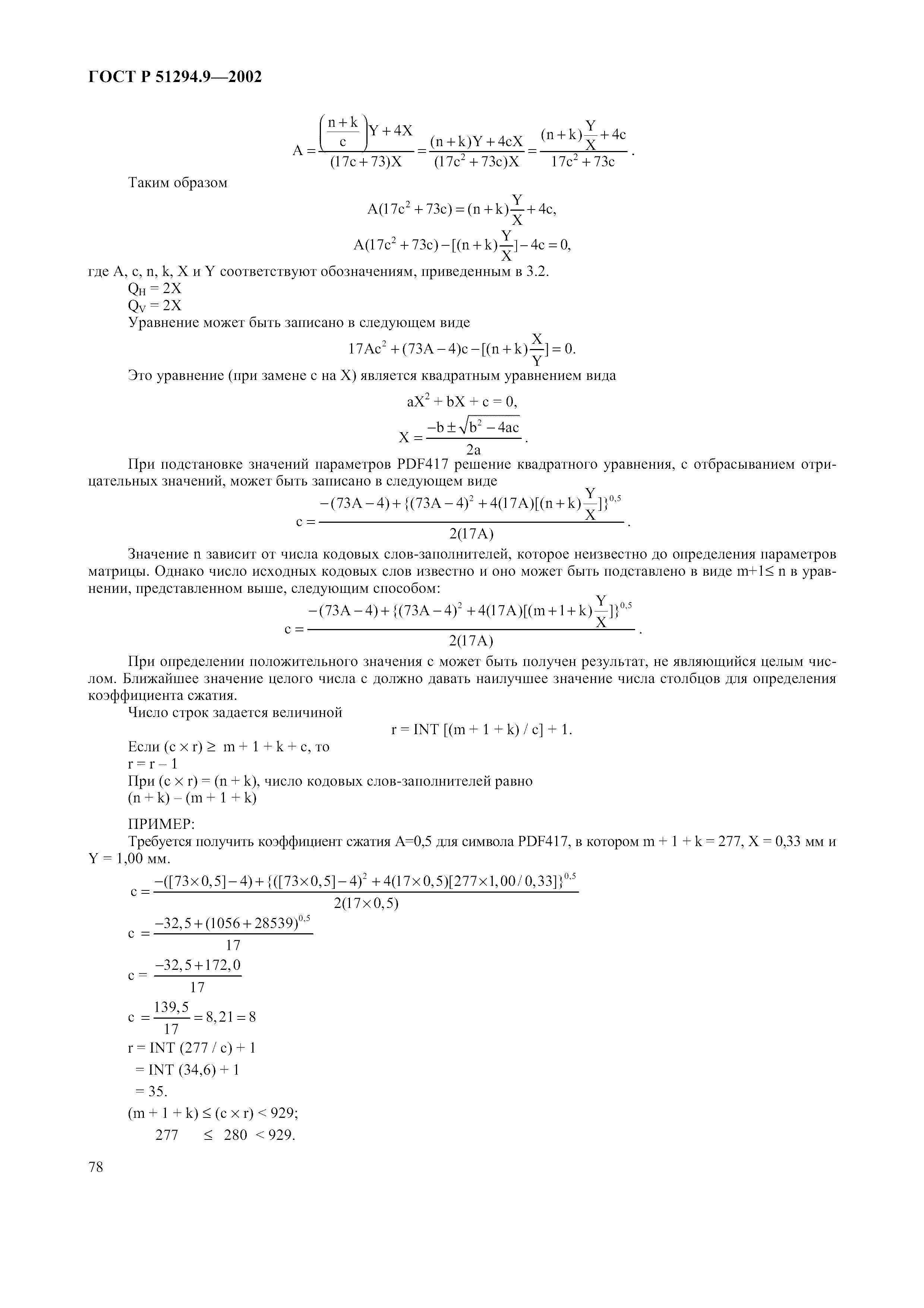
Настоящий стандарт устанавливает: - требования к символике штрихового кода PDF417; - показатели символики PDF417, кодирование знаков данных, форматы символов, размеры, правила коррекции ошибки, алгоритм декодирования и совокупность параметров применения
Связи и замены
Заменяющий:
ГОСТ ISO/IEC 15438-2018
Описание стандарта
ГОСТ 31016-2003 Автоматическая идентификация. Кодирование штриховое. Спецификации символики PDF417 (ПДФ417)
Страницы стандарта





























































































