ГОСТ Р 59230-2020 Средства коммуникации для слепых людей. Идентификаторы, названия и их присвоение наборам кодированных знаков для восьмиточечных знаков Брайля. Часть 1. Общие руководящие указания по идентификаторам и знакам перехода Брайля
ГОСТ Р
Скачать ГОСТ в PDF или DOC бесплатно
Основная информация
Обозначение:
ГОСТ Р 59230-2020
Статус:
Действует
Тип:
ГОСТ Р
Название русское:
Средства коммуникации для слепых людей. Идентификаторы, названия и их присвоение наборам кодированных знаков для восьмиточечных знаков Брайля. Часть 1. Общие руководящие указания по идентификаторам и знакам перехода Брайля
Название английское:
Communication aids for blind persons. Identifiers, names and assignation to coded character sets for 8-dot Braille characters. Part 1. General guidelines for Braille identifiers and shift marks
Даты и сроки
Дата издания:
12-28-20
Дата введения в действие:
06-01-21
Дата завершения срока действия:
-
Применение и описание
Область и условия применения:
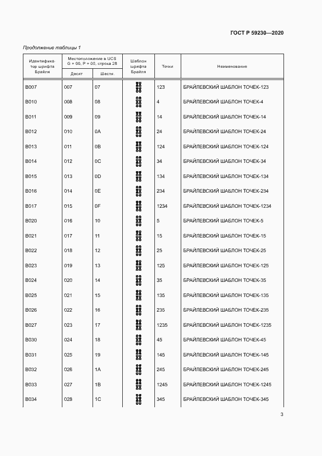
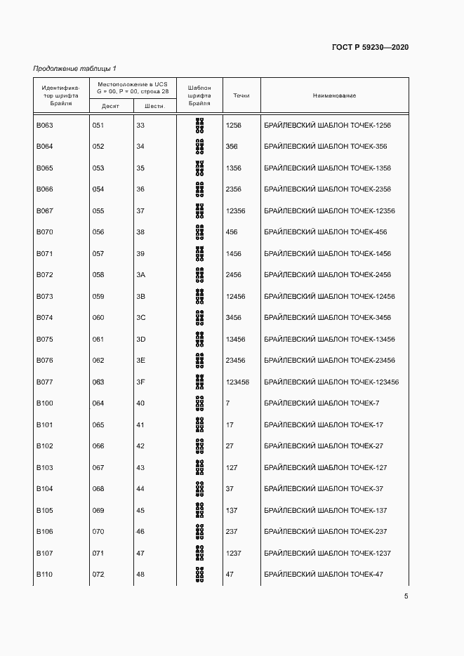
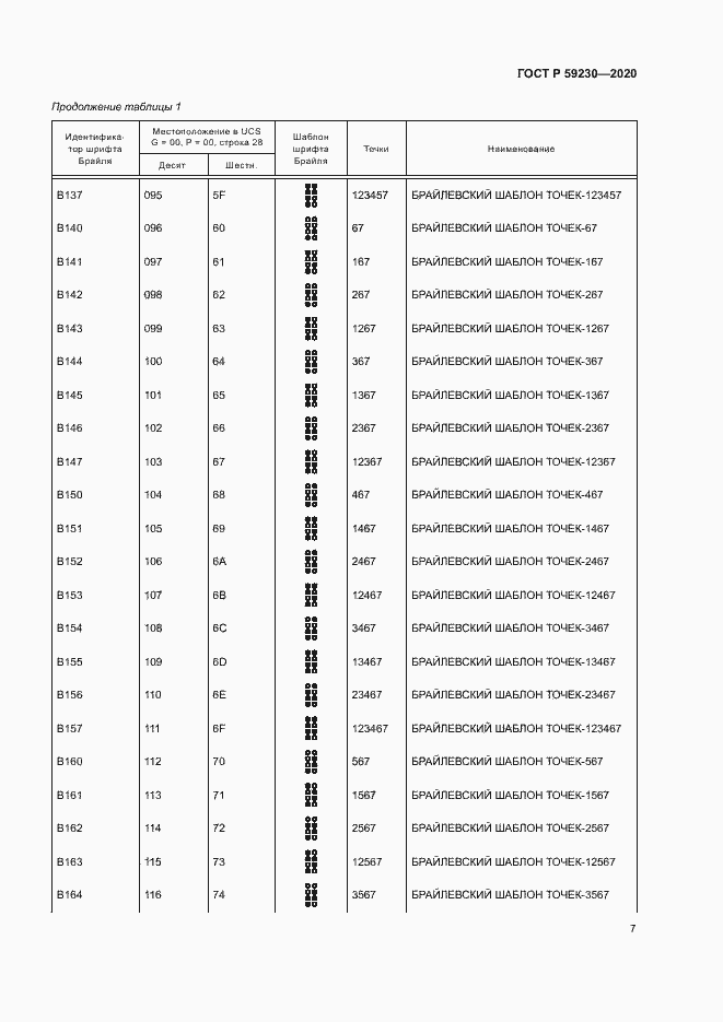
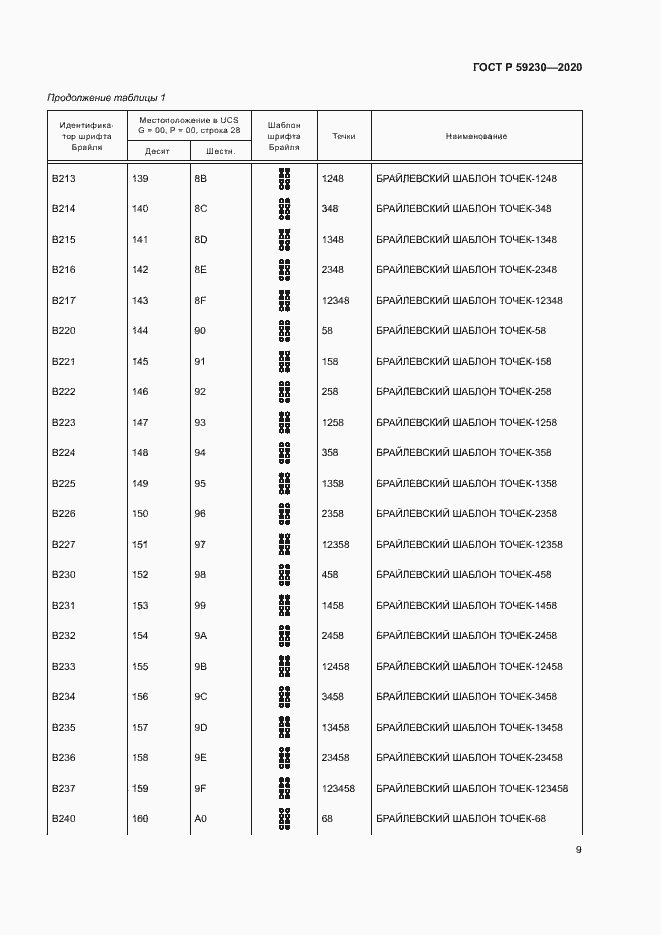
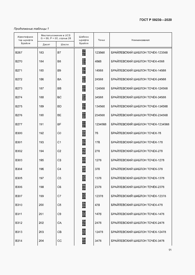
Настоящий стандарт содержит определение коротких идентификаторов для восьмиточечных шаблонов шрифта Брайля). Данные идентификаторы дополняют наименования, указанные в ИСО/МЭК 10646-1:2000. Существует множество разнообразных кодовых таблиц, используемых для работы с различными наборами символов (например, арабского, китайского, японского и латинского письма), а также таблиц специального назначения (например, для химии, математики и нотных записей), поэтому настоящий стандарт также содержит описание метода перехода между различными таблицами Брайля. При использовании метода обмена данными по настоящему стандарту пользователи и производители восьмиточечных Брайлевских устройств и программного обеспечения должны руководствоваться настоящим стандартом. Настоящий стандарт не применяется к шеститочечному шрифту Брайля и не содержит определение каких-либо физических размеров символов шрифта Брайля
Связи и замены
Заменяющий:
-
Описание стандарта
ГОСТ Р 59230-2020 Средства коммуникации для слепых людей. Идентификаторы, названия и их присвоение наборам кодированных знаков для восьмиточечных знаков Брайля. Часть 1. Общие руководящие указания по идентификаторам и знакам перехода Брайля
Страницы стандарта



























