ГОСТ Р 59389.1-2021 Информационные технологии. Методы эксплуатационных испытаний устройств радиочастотной идентификации. Часть 1. Методы эксплуатационных испытаний систем радиочастотной идентификации
ГОСТ Р
Скачать ГОСТ в PDF или DOC бесплатно
Основная информация
Обозначение:
ГОСТ Р 59389.1-2021
Статус:
Действует
Тип:
ГОСТ Р
Название русское:
Информационные технологии. Методы эксплуатационных испытаний устройств радиочастотной идентификации. Часть 1. Методы эксплуатационных испытаний систем радиочастотной идентификации
Название английское:
Information technology. Radio frequency identification device performance test methods. Part 1. Test methods for system performance
Даты и сроки
Дата издания:
09-03-21
Дата введения в действие:
06-01-22
Дата завершения срока действия:
-
Применение и описание
Область и условия применения:
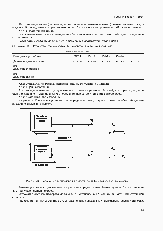
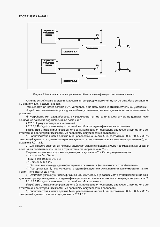
Настоящий стандарт определяет методы испытаний для оценки эксплуатационных характеристик систем радиочастотной идентификации и устанавливает общие требования и требования к испытаниям устройств считывания/опроса, необходимые при выборе устройств считывания/опроса для их применения. Требования стандарта не распространяются на испытания, связанные с подтверждением обязательных требований
Связи и замены
Заменяющий:
-
Описание стандарта
ГОСТ Р 59389.1-2021 Информационные технологии. Методы эксплуатационных испытаний устройств радиочастотной идентификации. Часть 1. Методы эксплуатационных испытаний систем радиочастотной идентификации
Страницы стандарта

































































