ГОСТ Р 55711-2013 Комплекс технических средств автоматизированной адаптивной ВЧ (КВ) дуплексной радиосвязи. Алгоритмы работы
ГОСТ Р
Скачать ГОСТ в PDF или DOC бесплатно
Основная информация
Обозначение:
ГОСТ Р 55711-2013
Статус:
Действует
Тип:
ГОСТ Р
Название русское:
Комплекс технических средств автоматизированной адаптивной ВЧ (КВ) дуплексной радиосвязи. Алгоритмы работы
Название английское:
Сomplex hardware of automatic adaptive HF duplex radio system. Algorithms work
Даты и сроки
Дата издания:
12-19-18
Дата введения в действие:
09-01-14
Дата завершения срока действия:
-
Применение и описание
Область и условия применения:
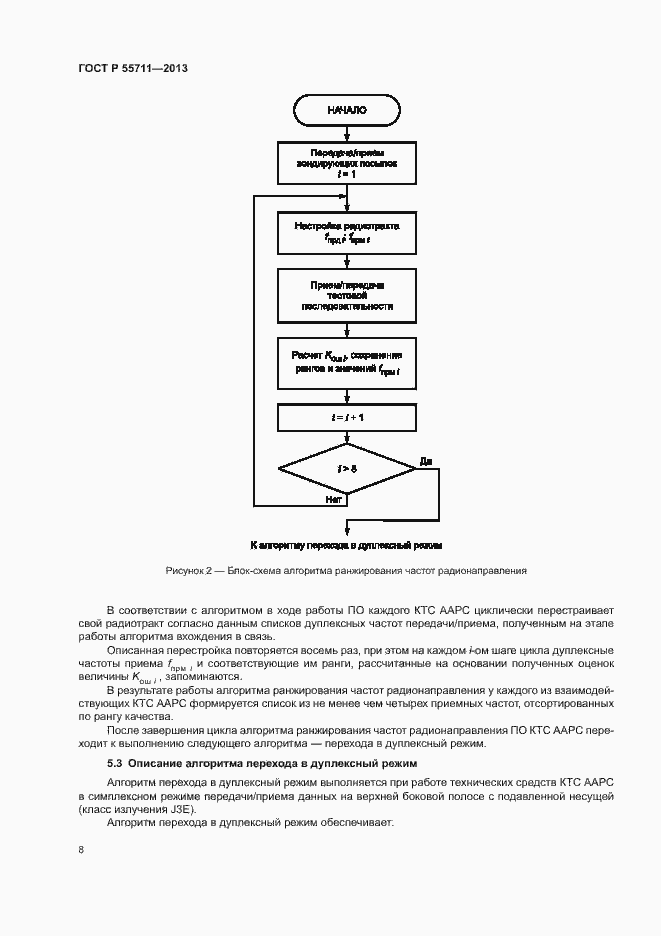
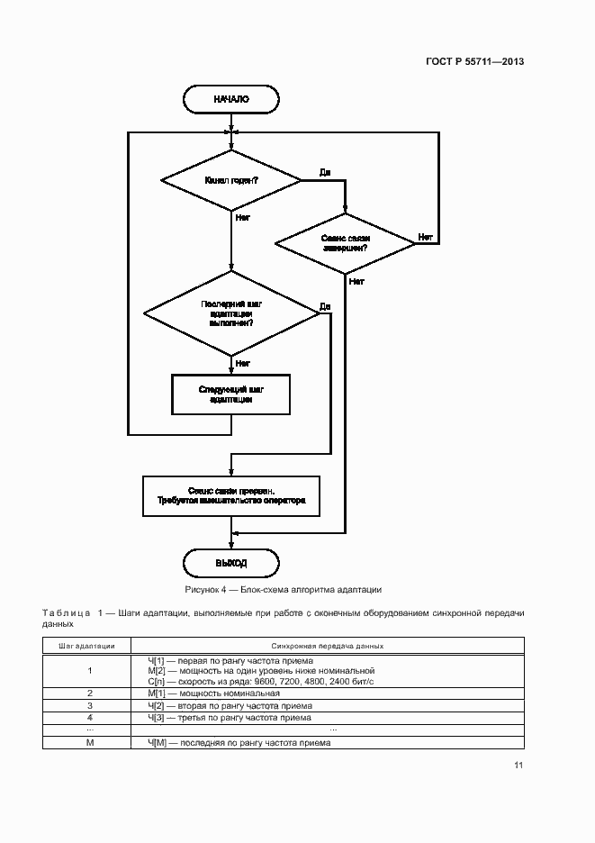
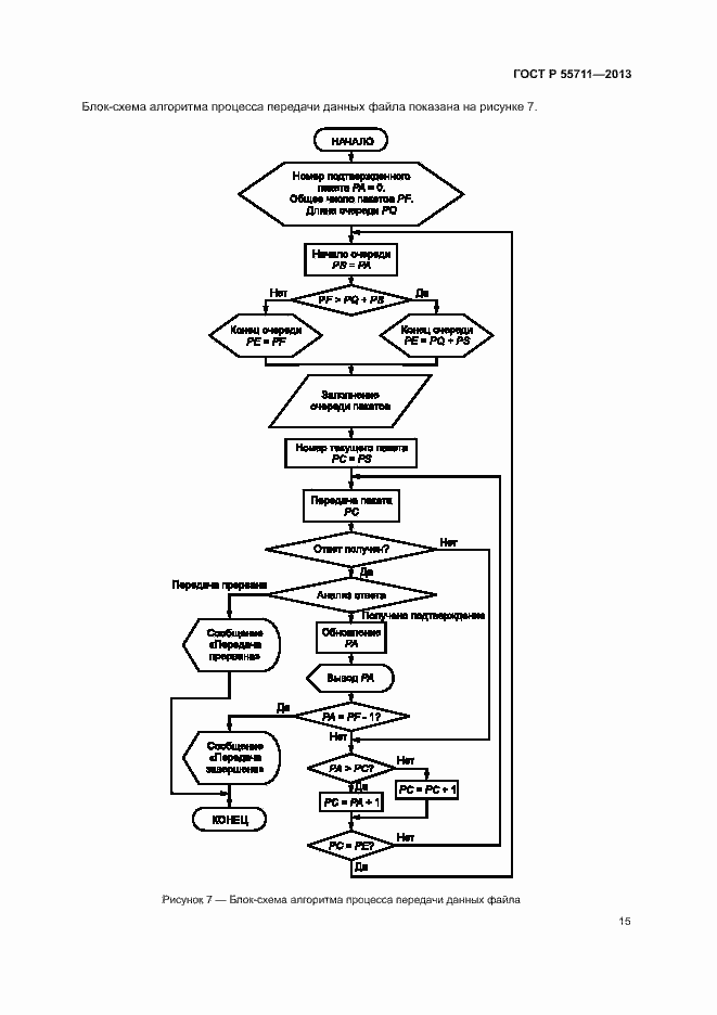
Настоящий стандарт распространяется на алгоритмы работы комплекса технических средств автоматизированной адаптивной дуплексной радиосвязи в диапазоне ВЧ (КВ) (КТС ААРС предназначенного для оснащения как разнесенных (приемных и передающих), так и совмещенных (приемо-передающих) радиоцентров, Алгоритмы обеспечивают автоматизированную работу технических средств комплекса в режимах вхождения в связь, ранжирования частот радионаправления, перехода в дуплексный режим, а также в режимах адаптации и пакетной передачи данных файловой структуры одновременно в двух встречных направлениях
Связи и замены
Заменяющий:
-
Описание стандарта
ГОСТ Р 55711-2013 Комплекс технических средств автоматизированной адаптивной ВЧ (КВ) дуплексной радиосвязи. Алгоритмы работы
Страницы стандарта



















