ГОСТ Р ИСО/МЭК 12207-2010 Информационная технология. Системная и программная инженерия. Процессы жизненного цикла программных средств
ГОСТ Р ИСО/МЭК
Скачать ГОСТ в PDF или DOC бесплатно
Основная информация
Обозначение:
ГОСТ Р ИСО/МЭК 12207-2010
Статус:
Действует
Тип:
ГОСТ Р ИСО/МЭК
Название русское:
Информационная технология. Системная и программная инженерия. Процессы жизненного цикла программных средств
Название английское:
Information technology. System and software engineering. Software life cycle processes
Даты и сроки
Дата издания:
12-15-11
Дата введения в действие:
03-01-12
Дата завершения срока действия:
-
Применение и описание
Область и условия применения:
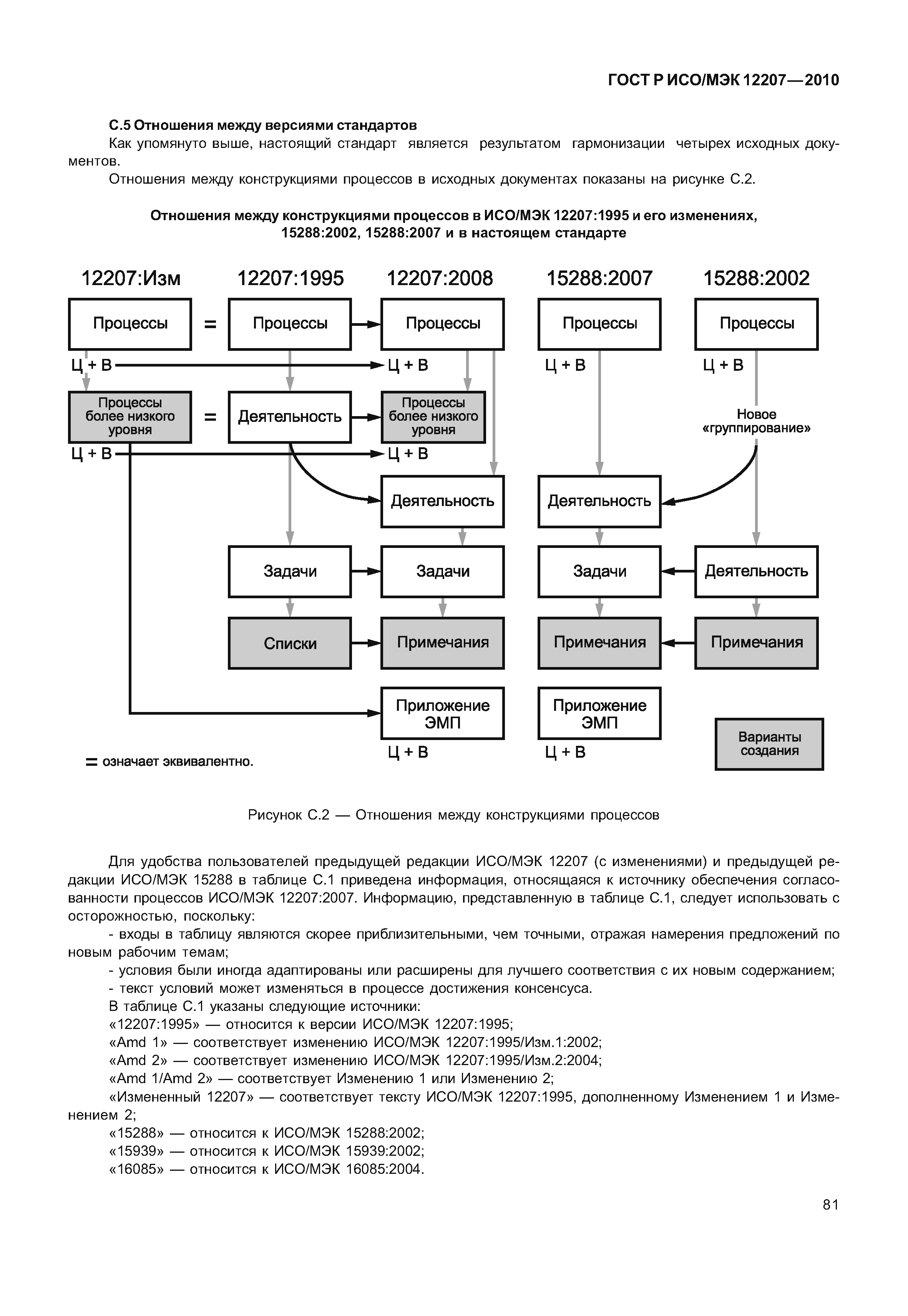
Настоящий стандарт, используя устоявшуюся терминологию, устанавливает общую структуру процессов жизненного цикла программных средств, на которую можно ориентироваться в программной индустрии. Настоящий стандарт определяет процессы, виды деятельности и задачи, которые используются при приобретении программного продукта или услуги, а также при поставке, разработке, применении по назначению, сопровождении и прекращении применения программных продуктов. Понятие программного средства включает в себя встроенный фирменный программный компонент. Настоящий стандарт используется при приобретении систем, программных продуктов и услуг, при их поставке, разработке, применении по назначению, сопровождении и прекращении применения программных продуктов и программных компонентов системы как в самой организации, так и вне ее. Эти аспекты системного определения включаются в настоящий стандарт для обеспечения содержания понятий программных продуктов и услуг. Настоящий стандарт устанавливает также процесс, который может использоваться при определении, управлении и совершенствовании процессов жизненного цикла программных средств. Процессы, виды деятельности и задачи настоящего стандарта - самостоятельно либо совместно с ИСО/МЭК 15288 - могут также использоваться во время приобретения системы, содержащей программные средства
Связи и замены
Заменяющий:
-
Взамен:
ГОСТ Р ИСО/МЭК 12207-99
Описание стандарта
ГОСТ Р ИСО/МЭК 12207-2010 Информационная технология. Системная и программная инженерия. Процессы жизненного цикла программных средств
Страницы стандарта








































































































