ГОСТ IEC 60848-2016 Язык спецификаций GRAFCET для последовательных функциональных схем
ГОСТ МЭК
Скачать ГОСТ в PDF или DOC бесплатно
Основная информация
Обозначение:
ГОСТ IEC 60848-2016
Статус:
Действует
Тип:
ГОСТ МЭК
Название русское:
Язык спецификаций GRAFCET для последовательных функциональных схем
Название английское:
GRAFCET specification language for sequential function charts
Даты и сроки
Дата регистрации:
09-27-16
Дата издания:
01-30-19
Дата введения в действие:
09-01-17
Дата завершения срока действия:
-
Применение и описание
Область и условия применения:
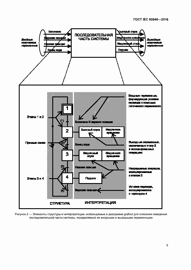
Настоящий стандарт распространяется на язык спецификаций GRAFCET, предназначенный для функционального описания поведения последовательного контроля системы управления. Настоящий стандарт устанавливает символы и правила для графического представления этого языка, а также для его интерпретации. Настоящий стандарт был подготовлен для автоматизированных производственных систем промышленного назначения. Однако он может применяться и в других областях. Методы разработки спецификаций с использованием языка GRAFCET выходят за рамки настоящего стандарта. Одним из методов является, например, «язык SFC», установленный в IEC 61131-3, который определяет набор языков программирования для программируемых контроллеров
Связи и замены
Заменяющий:
-
Описание стандарта
ГОСТ IEC 60848-2016 Язык спецификаций GRAFCET для последовательных функциональных схем
Страницы стандарта
















































