ГОСТ Р ИСО/МЭК 10021-2-98 Информационная технология. Передача текста. Системы обмена текстами, ориентированные на сообщения (MOTIS). Часть 2. Общая архитектура
ГОСТ Р ИСО/МЭК
Скачать ГОСТ в PDF или DOC бесплатно
Основная информация
Обозначение:
ГОСТ Р ИСО/МЭК 10021-2-98
Статус:
Действует
Тип:
ГОСТ Р ИСО/МЭК
Название русское:
Информационная технология. Передача текста. Системы обмена текстами, ориентированные на сообщения (MOTIS). Часть 2. Общая архитектура
Название английское:
Information technology. Text communication. Message-oriented text interchange systems (MOTIS). Part 2. Overall architecture
Даты и сроки
Дата издания:
12-10-98
Дата введения в действие:
01-01-99
Дата завершения срока действия:
-
Применение и описание
Область и условия применения:
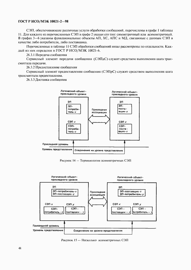
Настоящий стандарт устанавливает общую структуру системы обработки сообщений (СОС) и служит в качестве технического введения в СОС. Назначение СОС состоит в том, чтобы дать возможность пользователям обмениваться сообщениями на основе их промежуточного накопления. Сообщение, выданное от имени одного пользователя-отправителя, переносится системой передачи сообщений (СПС) и поступает к агентам одного или нескольких других пользователей-получателей. Модули доступа связывают СПС с системами обмена данными других видов (например, системами почтовой связи). При подготовке, хранении сообщений и их выводе на дисплей пользователю помогает агент пользователя. Факультативно в хранении сообщений пользователю помогает хранилище сообщений. Система СПС содержит большое число агентов передачи сообщений, которые совместно выполняют функцию передачи сообщений с промежуточным накоплением
Связи и замены
Заменяющий:
-
Описание стандарта
ГОСТ Р ИСО/МЭК 10021-2-98 Информационная технология. Передача текста. Системы обмена текстами, ориентированные на сообщения (MOTIS). Часть 2. Общая архитектура
Страницы стандарта







































































