ГОСТ Р ИСО/МЭК 10166-2-2001 Информационная технология. Текстовые и учрежденческие системы. Сохранение и получение документов. Часть 2. Спецификация протокола
ГОСТ Р ИСО/МЭК
Скачать ГОСТ в PDF или DOC бесплатно
Основная информация
Обозначение:
ГОСТ Р ИСО/МЭК 10166-2-2001
Статус:
Действует
Тип:
ГОСТ Р ИСО/МЭК
Название русское:
Информационная технология. Текстовые и учрежденческие системы. Сохранение и получение документов. Часть 2. Спецификация протокола
Название английское:
Information technology. Text and office systems. Document filing and retrieval (DFR). Part 2. Protocol specification
Даты и сроки
Дата издания:
03-21-01
Дата введения в действие:
01-01-02
Дата завершения срока действия:
-
Применение и описание
Область и условия применения:
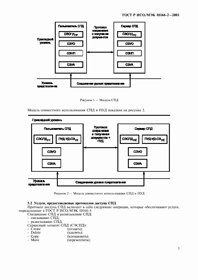
В настоящем стандарте определен протокол доступа сохранения и получения документов
Связи и замены
Заменяющий:
-
Описание стандарта
ГОСТ Р ИСО/МЭК 10166-2-2001 Информационная технология. Текстовые и учрежденческие системы. Сохранение и получение документов. Часть 2. Спецификация протокола
Страницы стандарта










