ГОСТ Р ИСО/МЭК 7809-98 Информационная технология. Передача данных и обмен информацией между системами. Процедуры управления звеном данных верхнего уровня. Классы процедур
ГОСТ Р ИСО/МЭК
Скачать ГОСТ в PDF или DOC бесплатно
Основная информация
Обозначение:
ГОСТ Р ИСО/МЭК 7809-98
Статус:
Действует
Тип:
ГОСТ Р ИСО/МЭК
Название русское:
Информационная технология. Передача данных и обмен информацией между системами. Процедуры управления звеном данных верхнего уровня. Классы процедур
Название английское:
Information technology. Telecommunications and information exchange between systems. High-level data link control (HDLC) procedures. Classes of procedures
Даты и сроки
Дата издания:
04-06-99
Дата введения в действие:
07-01-99
Дата завершения срока действия:
-
Применение и описание
Область и условия применения:
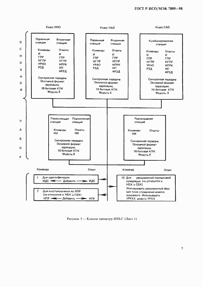
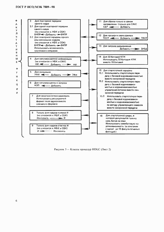
Настоящий стандарт определяет несбалансированные классы процедур HDLC, сбалансированный класс процедур HDLC и классы процедур HDLC режима без установления соединения при синхронной и стартстопной передаче данных. Сбалансированные операции предназначены для использования в тех случаях, когда необходимо одинаковое управление на каждом конце звена данных. Функциональные требования рассмотрены в соответствии с общей архитектурой процедур HDLC. В процедурах HDLC используется структура кадра, определенная в ГОСТ Р ИСО/МЭК 3309, и элементы процедур, определенные в ГОСТ Р ИСО/МЭК 4335
Связи и замены
Заменяющий:
-
Описание стандарта
ГОСТ Р ИСО/МЭК 7809-98 Информационная технология. Передача данных и обмен информацией между системами. Процедуры управления звеном данных верхнего уровня. Классы процедур
Страницы стандарта































