ГОСТ Р МЭК 61784-3-2015 Промышленные сети. Профили. Часть 3. Функциональная безопасность полевых шин. Общие правила и определения профилей
ГОСТ Р МЭК
Скачать ГОСТ в PDF или DOC бесплатно
Основная информация
Обозначение:
ГОСТ Р МЭК 61784-3-2015
Статус:
Действует
Тип:
ГОСТ Р МЭК
Название русское:
Промышленные сети. Профили. Часть 3. Функциональная безопасность полевых шин. Общие правила и определения профилей
Название английское:
Industrial communications networks. Profiles. Part 3. Functional safety fieldbuses. General rules and profile definitions
Даты и сроки
Дата издания:
06-02-16
Дата введения в действие:
11-01-16
Дата завершения срока действия:
-
Применение и описание
Область и условия применения:
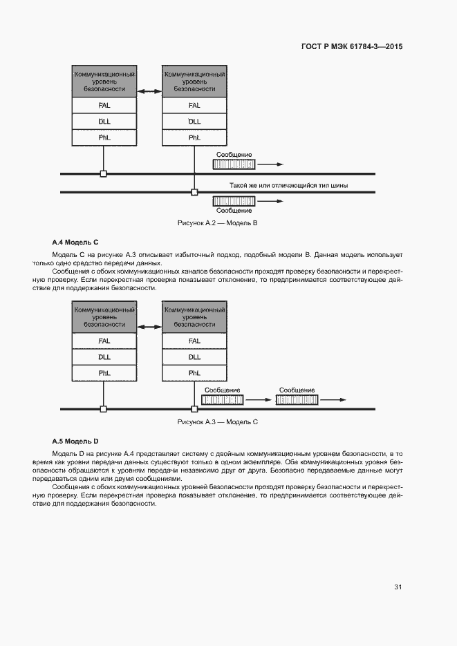
Настоящий стандарт рассматривает некоторые общие принципы, которые используются при передаче связанных с безопасностью сообщений между участниками распределенной сети, применяя технологию полевых шин в соответствии с требованиями комплекса МЭК 61784, для обеспечения функциональной безопасности. Эти принципы могут быть использованы в различных промышленных применениях таких, как управление процессами, автоматизация производства и машинное оборудование
Связи и замены
Заменяющий:
-
Описание стандарта
ГОСТ Р МЭК 61784-3-2015 Промышленные сети. Профили. Часть 3. Функциональная безопасность полевых шин. Общие правила и определения профилей
Страницы стандарта





















































