ГОСТ Р ИСО/МЭК 30100-2-2019 Информационные технологии. Менеджмент ресурсов домашних сетей. Часть 2. Архитектура
ГОСТ Р ИСО/МЭК
Скачать ГОСТ в PDF или DOC бесплатно
Основная информация
Обозначение:
ГОСТ Р ИСО/МЭК 30100-2-2019
Статус:
Действует
Тип:
ГОСТ Р ИСО/МЭК
Название русское:
Информационные технологии. Менеджмент ресурсов домашних сетей. Часть 2. Архитектура
Название английское:
Information technology. Home network resource management. Part 2. Architecture
Даты и сроки
Дата издания:
11-29-19
Дата введения в действие:
01-01-21
Дата завершения срока действия:
-
Применение и описание
Область и условия применения:
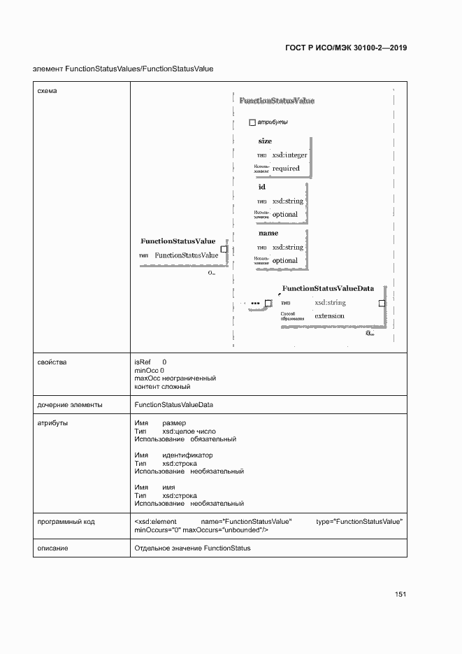
В настоящем стандарте определяется общая информационная модель и архитектура управления ресурсами домашней сети. Ресурсы домашней сети - это управляемые объекты, которые предоставляют услуги домашней сети. К основным домашним ресурсам относятся устройство, сеть и сервисные ресурсы. Целью настоящего стандарта является определение: - терминологии, используемой для описания логических ресурсов устройств, сетей и услуг в домашней вычислительной сети; - логической информационной модели для описания взаимосвязей между ресурсами; - базовых логических функциональных процедур домашней вычислительной сети (например, дистанционного обслуживания, автоматического конфигурирования и обработки отказов
Связи и замены
Заменяющий:
-
Описание стандарта
ГОСТ Р ИСО/МЭК 30100-2-2019 Информационные технологии. Менеджмент ресурсов домашних сетей. Часть 2. Архитектура
Страницы стандарта




























































































































































































