ГОСТ Р ИСО/МЭК 10857-95 Информационная технология. Микропроцессорные системы. Интерфейс Фьючебас+. Спецификации логического уровня
ГОСТ Р ИСО/МЭК
Скачать ГОСТ в PDF или DOC бесплатно
Основная информация
Обозначение:
ГОСТ Р ИСО/МЭК 10857-95
Статус:
Действует
Тип:
ГОСТ Р ИСО/МЭК
Название русское:
Информационная технология. Микропроцессорные системы. Интерфейс Фьючебас+. Спецификации логического уровня
Название английское:
Information technology. Microprocessor systems. Futurebus+. Logical protocol specification
Даты и сроки
Дата издания:
03-21-96
Дата введения в действие:
01-01-97
Дата завершения срока действия:
-
Применение и описание
Область и условия применения:
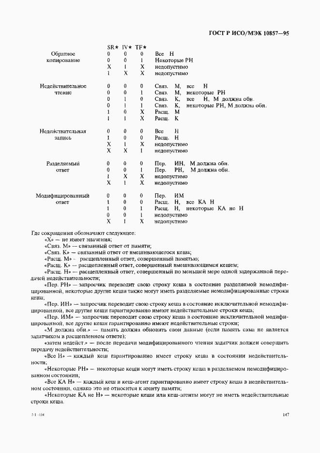
Настоящий стандарт регламентирует логический (относящийся к временным соотношениям и протоколу поведения) уровень, определяющий набор сигнальных линий, который образует архитектуру магистрали из множества сегментов, и интерфейс модулей, подключенных к сегменту магистрали. Стандарт следует применять как составную часть профиля (набор соответствующих спецификаций, которые должны быть использованы совместно при разработке продукта для выполнения требований функционального стандарта) при построении систем с высоким уровнем совместимости. Стандарт определяет полный набор правил для сигналов, передаваемых всеми модулями как при распределенном, так и централизованном способе доступа к магистрали. Стандарт также дает полный набор правил для сигналов, выдаваемых всеми модулями, участвующими в передачах на магистрали
Связи и замены
Заменяющий:
-
Описание стандарта
ГОСТ Р ИСО/МЭК 10857-95 Информационная технология. Микропроцессорные системы. Интерфейс Фьючебас+. Спецификации логического уровня
Страницы стандарта
























































































































































































