ГОСТ Р МЭК 61883-2-2016 Аудио-/видеоаппаратура бытового назначения. Цифровой интерфейс. Часть 2. Передача данных SD-DVCR
ГОСТ Р МЭК
Скачать ГОСТ в PDF или DOC бесплатно
Основная информация
Обозначение:
ГОСТ Р МЭК 61883-2-2016
Статус:
Действует
Тип:
ГОСТ Р МЭК
Название русское:
Аудио-/видеоаппаратура бытового назначения. Цифровой интерфейс. Часть 2. Передача данных SD-DVCR
Название английское:
Consumer audio/video equipment. Digital interface. Part 2. SD-DVCR data transmission
Даты и сроки
Дата издания:
01-28-19
Дата введения в действие:
11-01-17
Дата завершения срока действия:
-
Применение и описание
Область и условия применения:
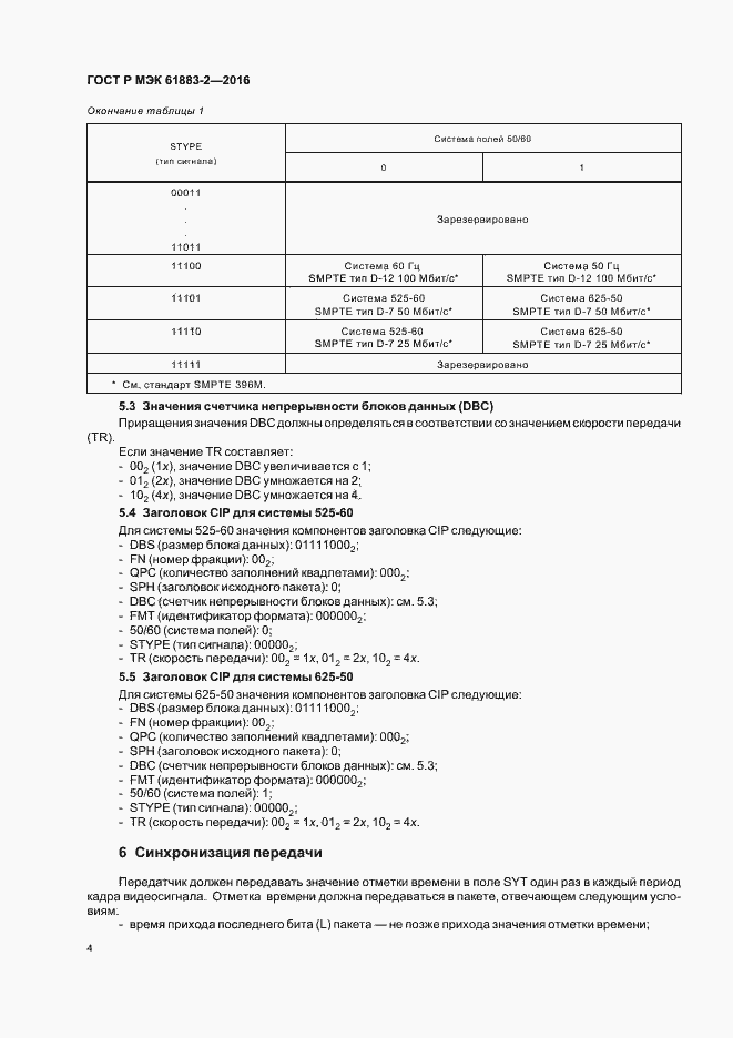
Настоящий стандарт устанавливает формат пакета и синхронизацию передачи данных цифрового кассетного видеомагнитофона со стандартной четкостью изображения (SD-DVCR). В стандарте определены технические требования к формату пакета стандарта IEEE 1394, заголовку общего изохронного пакета (CIP) для телевизионных систем 525-60 и 625-50 и синхронизации передачи
Связи и замены
Заменяющий:
-
Описание стандарта
ГОСТ Р МЭК 61883-2-2016 Аудио-/видеоаппаратура бытового назначения. Цифровой интерфейс. Часть 2. Передача данных SD-DVCR
Страницы стандарта













