ГОСТ Р 59167-2020 Информационные технологии. Стандарт информационных сервисов EPC (EPCIS)
ГОСТ Р
Скачать ГОСТ в PDF или DOC бесплатно
Основная информация
Обозначение:
ГОСТ Р 59167-2020
Статус:
Действует
Тип:
ГОСТ Р
Название русское:
Информационные технологии. Стандарт информационных сервисов EPC (EPCIS)
Название английское:
EPC Information Services (EPCIS) Standard
Даты и сроки
Дата издания:
01-19-21
Дата введения в действие:
01-01-22
Дата завершения срока действия:
-
Применение и описание
Область и условия применения:
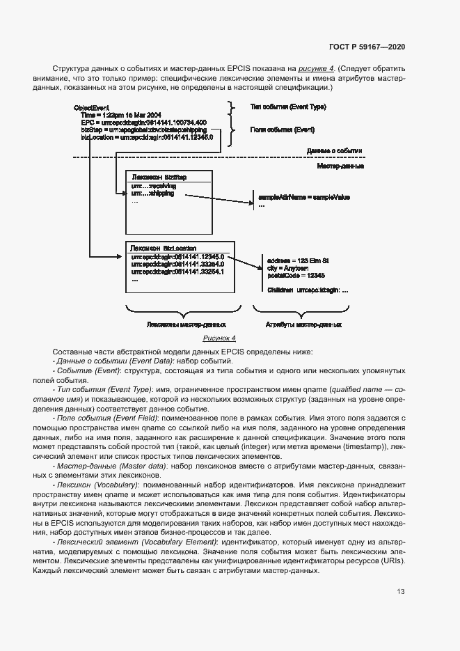
Настоящий документ соответствует стандарту GS1 [2], который определяет версию 1.2 информационных сервисов EPC (EPC Information Services, EPCIS). Целью EPCIS является предоставление возможности различным приложениям создавать данные о событиях, обеспечивающих прозрачность, и обмениваться ими как внутри предприятий, так и между ними. В конечном счете, создание этого общего ресурса направлено на то, чтобы дать возможность пользователям получать общий доступ к физическим и цифровым объектам в рамках соответствующего контекста ведения хозяйственной деятельности
Связи и замены
Заменяющий:
-
Описание стандарта
ГОСТ Р 59167-2020 Информационные технологии. Стандарт информационных сервисов EPC (EPCIS)
Страницы стандарта































































































































































