ГОСТ Р 70289-2022 Информационные технологии. Облачные вычисления. Особенности обработки различных категорий данных в облачных службах
ГОСТ Р
Скачать ГОСТ в PDF или DOC бесплатно
Основная информация
Обозначение:
ГОСТ Р 70289-2022
Статус:
Действует
Тип:
ГОСТ Р
Название русское:
Информационные технологии. Облачные вычисления. Особенности обработки различных категорий данных в облачных службах
Название английское:
Information technology. Cloud computing. Features of processing different categories of data in cloud services
Даты и сроки
Дата издания:
09-19-22
Дата введения в действие:
03-30-23
Дата завершения срока действия:
-
Применение и описание
Область и условия применения:
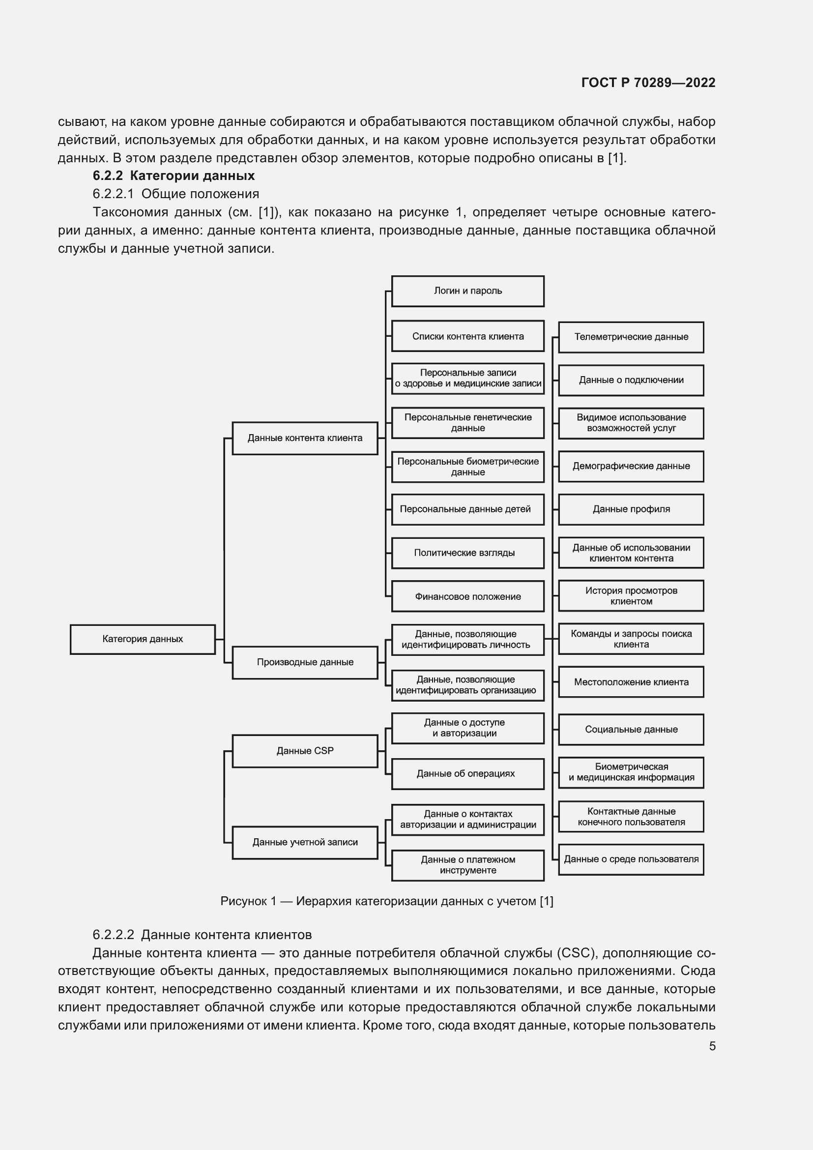
В настоящем стандарте представлено: - определение основ структурированного представления связанных с данными политик и практик в области облачных вычислений на основе таксономии данных с учетом [1]; - руководящие принципы по применению таксономии для обработки данных на основе разделения на категории и классификации данных; - определение политик и практик, связанных с данными, включая, помимо прочего, размещение данных, трансграничную передачу данных, доступ к данным, переносимость данных, использование данных, управление данными, а также корпоративное управление данными; - описание того, как основы могут быть использованы в кодексах поведения для хранения и передачи данных, включая трансграничную передачу данных, а также удаленный доступ к данным; - варианты использования для задач обслуживания данных, то есть контроля, доступа и определения местоположения данных в соответствии с категориями данных (см. [1]). Настоящий стандарт предназначен в первую очередь для поставщиков облачных услуг, потребителей и пользователей облачных служб, а также для всех лиц или организаций, интересы которых включают юридические, политические, технические или другие аспекты управления данными на основе таксономии в облачных услугах
Связи и замены
Заменяющий:
-
Описание стандарта
ГОСТ Р 70289-2022 Информационные технологии. Облачные вычисления. Особенности обработки различных категорий данных в облачных службах
Страницы стандарта





















































