ГОСТ Р ИСО 11238-2014 Информатизация здоровья. Идентификация лекарственных средств. Элементы данных и структуры для уникальной идентификации и обмена информацией о регистрируемых фармацевтических субстанциях
ГОСТ Р ИСО
Скачать ГОСТ в PDF или DOC бесплатно
Основная информация
Обозначение:
ГОСТ Р ИСО 11238-2014
Статус:
Действует
Тип:
ГОСТ Р ИСО
Название русское:
Информатизация здоровья. Идентификация лекарственных средств. Элементы данных и структуры для уникальной идентификации и обмена информацией о регистрируемых фармацевтических субстанциях
Название английское:
Health informatics. Identification of medicinal products. Data elements and structures for the unique identification and exchange of regulated information on substances
Даты и сроки
Дата издания:
05-25-15
Дата введения в действие:
10-01-15
Дата завершения срока действия:
-
Применение и описание
Область и условия применения:
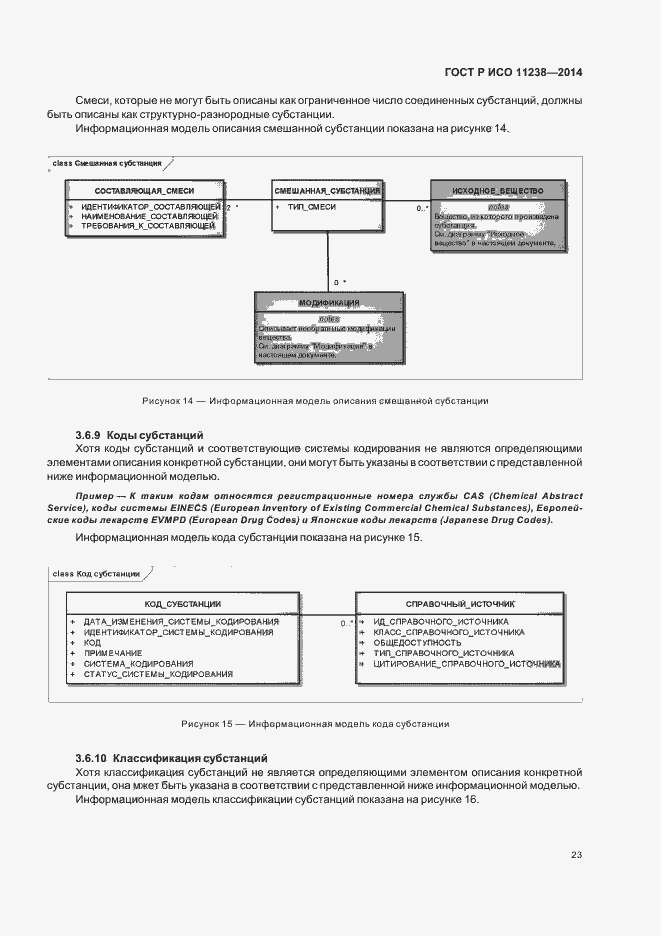
В настоящем стандарте представлена информационная модель, предназначенная для идентификация и описания субстанций, входящих в состав лекарственных средств или используемых для медицинских целей, включая биоактивные добавки, пищу и косметику. В нем используются другие релевантные стандарты и внешние терминологические ресурсы
Связи и замены
Заменяющий:
-
Описание стандарта
ГОСТ Р ИСО 11238-2014 Информатизация здоровья. Идентификация лекарственных средств. Элементы данных и структуры для уникальной идентификации и обмена информацией о регистрируемых фармацевтических субстанциях
Страницы стандарта











































