ГОСТ ISO 13606-5-2013 Информатизация здоровья. Передача электронных медицинских карт. Часть 5. Спецификация интерфейсов
ГОСТ ИСО
Скачать ГОСТ в PDF или DOC бесплатно
Основная информация
Обозначение:
ГОСТ ISO 13606-5-2013
Статус:
Действует
Тип:
ГОСТ ИСО
Название русское:
Информатизация здоровья. Передача электронных медицинских карт. Часть 5. Спецификация интерфейсов
Название английское:
Health informatics. Electronic health record communication. Part 5. Interface specification
Даты и сроки
Дата регистрации:
11-05-13
Дата издания:
10-24-18
Дата введения в действие:
07-01-15
Дата завершения срока действия:
-
Применение и описание
Область и условия применения:
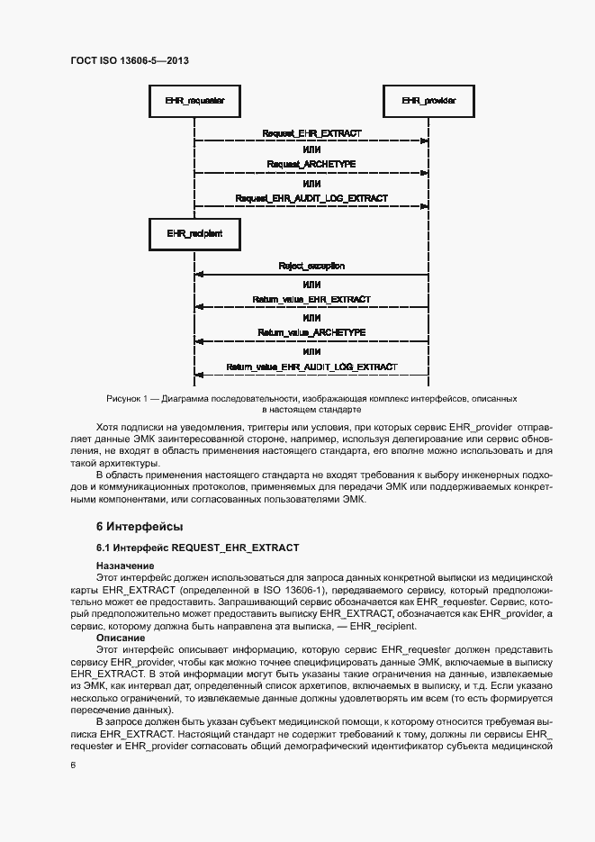
Настоящий стандарт описывает информационную архитектуру, требуемую для интероперабельных коммуникаций между системами и сервисами, которые запрашивают или предоставляют данные ЭМК. Настоящий стандарт не распространяется на внутреннюю архитектуру или структуру базы данных таких систем. Субъектом передаваемой медицинской карты или части медицинской карты является одно физическое лицо, и рамки информационного взаимодействия в основном ограничены сведениями о медицинской помощи, оказываемой этому пациенту. Использование медицинских карт для других целей, например, администрирование, управление, научные и эпидемиологические исследования, не входят в область применения настоящего стандарта, но пользователи подобной вторичной информации тем не менее могут найти настоящий стандарт полезным. В настоящем стандарте определен комплекс интерфейсов, которые обеспечивают прием запросов и передачу результатов для следующих информационных объектов: - выписка EHR_EXTRACT данного субъекта медицинской помощи в соответствии с ISO 13606-1; - один или несколько архетипов ARCHETYPE в соответствии с ISO 13606-2; - информация журнала аудита EHR_AUDIT_LOG_EXTRACT, относящаяся к данному субъекту медицинской помощи, в соответствии с ISO 13606-4. В настоящем стандарте определен комплекс взаимодействий, предназначенных для запроса каждого из этих артефактов и для передачи запрашивающей стороне данных либо отказа в выполнении запроса. Интерфейс произвольных запросов данных одной или нескольких ЭМК, например, в целях клинического аудита или научных исследований, не входит в область применения настоящего стандарта, хотя запрос выписки EHR_EXTRACT может обслуживать также и запросы данных из нескольких ЭМК. Настоящий стандарт описывает каждый интерфейс с вычислительной точки зрения, не указывая и не ограничивая инженерные методы реализации в форме передачи сообщений или вызовов сервисов. В настоящем стандарте приведено эффективное определение полезной нагрузки, передаваемой при вызове каждого интерфейса. В нем не описана ни конкретная дополнительная информация, требуемая различными транспортными протоколами, ни процедуры защиты данных или аутентификации, которые могут быть согласованы взаимодействующими сторонами или требоваться различными регламентами
Связи и замены
Заменяющий:
-
Описание стандарта
ГОСТ ISO 13606-5-2013 Информатизация здоровья. Передача электронных медицинских карт. Часть 5. Спецификация интерфейсов
Страницы стандарта


















