ГОСТ Р 56843-2015 Информатизация здоровья. Информационное взаимодействие с персональными медицинскими приборами. Часть 10201. Информационная модель предметной области
ГОСТ Р
Скачать ГОСТ в PDF или DOC бесплатно
Основная информация
Обозначение:
ГОСТ Р 56843-2015
Статус:
Действует
Тип:
ГОСТ Р
Название русское:
Информатизация здоровья. Информационное взаимодействие с персональными медицинскими приборами. Часть 10201. Информационная модель предметной области
Название английское:
Health informatics. Point-of-care medical device communication. Part 10201. Domain information model
Даты и сроки
Дата издания:
06-14-16
Дата введения в действие:
11-01-16
Дата завершения срока действия:
-
Применение и описание
Область и условия применения:
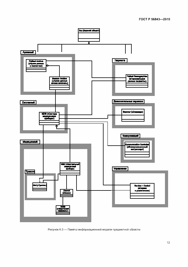
В общем контексте комплекса стандартов ИСО/ИИЭР 11073 задачей настоящего стандарта является определение и структуризация информации, которая непосредственно используется или хотя бы упоминается в процессе коммуникации между сущностями, относящимися к данной предметной области (предметными сущностями, прикладными сущностями)
Связи и замены
Заменяющий:
-
Описание стандарта
ГОСТ Р 56843-2015 Информатизация здоровья. Информационное взаимодействие с персональными медицинскими приборами. Часть 10201. Информационная модель предметной области
Страницы стандарта



















































































































































































