ГОСТы >
35.240.15 Карты идентификационные. Карты с микросхемами. Биометрия >
ГОСТ Р ИСО/МЭК 7816-7-2011
ГОСТ Р ИСО/МЭК 7816-7-2011 Карты идентификационные. Карты на интегральных схемах с контактами. Часть 7. Межотраслевые команды языка структурированных запросов для карт (SCQL)
ГОСТ Р ИСО/МЭК
Скачать ГОСТ в PDF или DOC бесплатно
Основная информация
Обозначение:
ГОСТ Р ИСО/МЭК 7816-7-2011
Статус:
Действует
Тип:
ГОСТ Р ИСО/МЭК
Название русское:
Карты идентификационные. Карты на интегральных схемах с контактами. Часть 7. Межотраслевые команды языка структурированных запросов для карт (SCQL)
Название английское:
Identification cards. Integrated circuit(s) cards with contacts. Part 7. Interindustry commands for Structured Card Query Language (SCQL)
Даты и сроки
Дата издания:
12-26-18
Дата введения в действие:
01-01-13
Дата завершения срока действия:
-
Применение и описание
Область и условия применения:
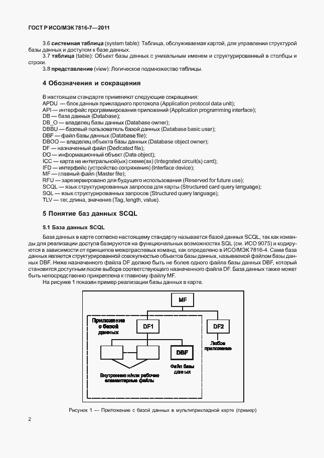
Настоящий стандарт устанавливает: - понятие баз данных SCQL (SCQL - язык структурированных запросов для карты, основанный на SQL; - соответствующие межотраслевые расширенные команды
Связи и замены
Заменяющий:
-
Описание стандарта
ГОСТ Р ИСО/МЭК 7816-7-2011 Карты идентификационные. Карты на интегральных схемах с контактами. Часть 7. Межотраслевые команды языка структурированных запросов для карт (SCQL)
Страницы стандарта







































