ГОСТы >
35.240.30 Применение приложений ИТ в области информации, документации и в издательском деле >
ГОСТ Р 51725.3-2016
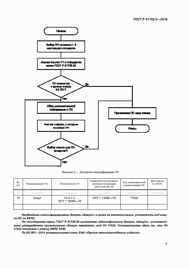
ГОСТ Р 51725.3-2016 Каталогизация продукции для федеральных государственных нужд. Правила идентификации и классификации продукции. Общие положения
ГОСТ Р
Скачать ГОСТ в PDF или DOC бесплатно
Основная информация
Обозначение:
ГОСТ Р 51725.3-2016
Статус:
Действует
Тип:
ГОСТ Р
Название русское:
Каталогизация продукции для федеральных государственных нужд. Правила идентификации и классификации продукции. Общие положения
Название английское:
Catalogization of products for federal state needs. Rules of identification and classification of products. General provisions
Даты и сроки
Дата издания:
07-03-17
Дата введения в действие:
01-01-17
Дата завершения срока действия:
-
Применение и описание
Область и условия применения:
Настоящий стандарт распространяется на продукцию, подлежащую включению в Федеральный каталог продукции. Стандарт устанавливает порядок и правила идентификации и классификации продукции. Стандарт предназначен для применения организациями - участниками Федеральной системы каталогизации продукции для федеральных государственных нужд, осуществляющими подготовку исходных данных о продукции, подлежащей каталогизации, и организациями, проводящими идентификацию и классификацию продукции для включения в Федеральный каталог продукции
Связи и замены
Заменяющий:
-
Взамен:
ГОСТ Р 51725.3-2009
Изменения и переиздания
Список изменений:
№0 от (рег. ) «Дата введения перенесена»
Описание стандарта
ГОСТ Р 51725.3-2016 Каталогизация продукции для федеральных государственных нужд. Правила идентификации и классификации продукции. Общие положения
Страницы стандарта










Приложение №1: Поправка к ГОСТ Р 51725.3-2016 Обозначение: Поправка к ГОСТ Р 51725.3-2016 Дата введения в действие: 17.05.2017
